Mannose-PEG-DSPE;甘露糖聚乙二醇磷脂
发布时间:2024-01-26     作者:wqy   分享到:
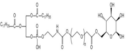
产品名称 甘露糖聚乙二醇磷脂 Mannose-PEG-DSPE
中文名称 甘露糖聚乙二醇磷脂
英文名称 Mannose-PEG-DSPE
溶解度 溶于DMSO DMF等部分有机溶剂
存储条件 -20°冷冻保存,惰性气体保护
保存时间 一年
产品信息 长循环脂质体为载体,具有抑制肿瘤调节免疫力等作用。

关于我们:
西安齐岳生物科技有限公司是国内的PEG供应商,可以提供不同分子量的PEG衍生物,小分子PEG的循环节可以做到1-36个,高分子PEG分子量从1000-40000不等,产品分类氨基异双聚乙二醇、羧基异双聚乙二醇、巯基异双聚乙二醇、羟基异双聚乙二醇、马来酰亚胺异双聚乙二醇、叠氮异双聚乙二醇、磷脂异双聚乙二醇、活性酯异双聚乙二醇、长脂肪链聚乙二醇(C12/C18)、生物素异双聚乙二醇、叶酸异双聚乙二醇、叔丁酯异双聚乙二醇、硅烷异双聚乙二醇、醛基异双聚乙二醇、炔烃异双聚乙二醇、甘露糖聚乙二醇,产品纯度高达98%以上。
产品名称
SPA-PEG-SPA
二叠氮聚乙二醇
N3-PEG-N3
二聚乳酸-羟基乙酸共聚物聚乙二醇
PLGA-PEG-PLGA
二聚己内酯聚乙二醇
PCL-PEG-PCL
二炔基聚乙二醇
Alkyne-PEG-Alkyne
二叶酸聚乙二醇
FA-PEG-FA




齐岳微信公众号
官方微信
库存查询