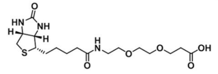
Biotin-PEG2-Acid;1365655-89-5;生物素-二聚乙二醇-羧基
发布时间:2024-01-29     作者:wyh   分享到:
产品名称 Biotin-PEG2-Acid;1365655-89-5
中文名称 生物素二聚乙二醇丙酸;生物素-二聚乙二醇-羧基
英文名称 Biotin-PEG2-COOH;Biotin-PEG2-Acid;(+)-Biotin-PEG2-Acid
分子量 403.49
CAS 1365655-89-5
分子式 C17H29N3O6S
存储条件 -20°冷冻保存,惰性气体保护
保存时间 一年
状态 淡黄色至白色固体

关于我们
西安齐岳生物科技有限公司是国内的精确分子量PEG衍生物供应商,可以提供不同分子量的精确分子量PEG衍生物,可以提供的相关产品包括:mPEG-X、X-PEG-X、Amine-PEG-X、Acid-PEG-X、HO-PEG-X、Azide-PEG-X、Alkyne-PEG-X、Amineoxy-PEG-X、Boc-NH-PEG-X、DNP-PEG-X、COOtBu-PEG-X、AcS-PEG-X、Br-PEG-X、SPDP-PEG-X、Benzyl-PEG-OH、Fmoc-NH-PEG-X、Biotin-PEG-X、Fluorescent-PEG-X、CHO-Ph-PEG-X、CHO-PEG-X,产品纯度高达98%以上。
相关产品:
产品名称详细介绍
Alkyne-PEG8-Br;2055046-25-6
COOtBu-PEG5-OH;850090-09-4
COOtBu-PEG5-OH;850090-09-4
DNP-PEG4-COOtBu;1817735-31-1
DNP-PEG4-Acid;858126-76-8
DNP-PEG4-NHS ester;858126-78-0




齐岳微信公众号
官方微信
库存查询