DSPE-PEG-AC 磷脂聚乙二醇丙烯酸酯
发布时间:2024-01-30     作者:wqy   分享到:
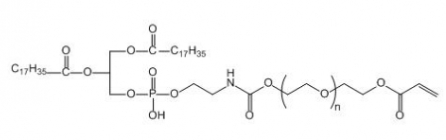
产品名称 磷脂聚乙二醇丙烯酸酯 AC-PEG-DSPE
中文名称 二硬脂酰基磷脂酰乙醇胺-聚乙二醇-丙烯酸酯
英文名称 DSPE-PEG-AC
分子量 2000
CAS N/A
溶解度 部分有机溶剂
存储条件 -20°冷冻,干燥保存
保存时间 1年
产品信息

关于我们:
西安齐岳生物科技有限公司是国内的PEG供应商,可以提供不同分子量的PEG衍生物,小分子PEG的循环节可以做到1-36个,高分子PEG分子量从1000-40000不等,产品分类氨基异双聚乙二醇、羧基异双聚乙二醇、巯基异双聚乙二醇、羟基异双聚乙二醇、马来酰亚胺异双聚乙二醇、叠氮异双聚乙二醇、磷脂异双聚乙二醇、活性酯异双聚乙二醇、长脂肪链聚乙二醇(C12/C18)、生物素异双聚乙二醇、叶酸异双聚乙二醇、叔丁酯异双聚乙二醇、硅烷异双聚乙二醇、醛基异双聚乙二醇、炔烃异双聚乙二醇、甘露糖聚乙二醇,产品纯度高达98%以上。
产品名称
NHS-PEG-Biotin
叔丁氧羰基聚乙二醇马来酰亚胺
BOC-NH-PEG-MAL
羧基聚乙二醇乙酸叔丁酯
COOH-PEG-CH3COOtBu
叠氮聚乙二醇磷脂
N4-PEG-DSPE
巯基聚乙二醇羟基
SH-PEG-OH
磷脂聚乙二醇巯基
DSPE-PEG-SH
氨基聚乙二醇羟基
NH3-PEG-OH




齐岳微信公众号
官方微信
库存查询