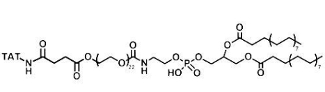
DSPE-PEG-TAT 磷脂-聚乙二醇-靶向穿膜肽TAT
发布时间:2024-01-30     作者:wqy   分享到:
产品名称 磷脂-聚乙二醇-靶向穿膜肽TAT DSPE-PEG-TAT
中文名称 磷脂-聚乙二醇-靶向穿膜肽TAT
英文名称 DSPE-PEG-TAT
分子量 2000
CAS N/A
溶解度 有机溶剂等
存储条件 -20℃以下冰冻、干燥、避光。长期保存惰性(氩气或者氮气)保护。
保存时间 一年
产品信息 DSPE-PEG-TAT靶向穿膜肽TAT -聚乙二醇-磷脂具有**的细胞穿透力且能直接作用于细胞核。
关于我们:
西安齐岳生物科技有限公司是国内的PEG供应商,可以提供不同分子量的PEG衍生物,小分子PEG的循环节可以做到1-36个,高分子PEG分子量从1000-40000不等,产品分类氨基异双聚乙二醇、羧基异双聚乙二醇、巯基异双聚乙二醇、羟基异双聚乙二醇、马来酰亚胺异双聚乙二醇、叠氮异双聚乙二醇、磷脂异双聚乙二醇、活性酯异双聚乙二醇、长脂肪链聚乙二醇(C12/C18)、生物素异双聚乙二醇、叶酸异双聚乙二醇、叔丁酯异双聚乙二醇、硅烷异双聚乙二醇、醛基异双聚乙二醇、炔烃异双聚乙二醇、甘露糖聚乙二醇,产品纯度高达98%以上。
产品名称
羟基聚乙二醇硅
HO-PEG-Silane
罗丹明聚乙二醇磷脂
Rhodamine-PEG-DSPE
磷脂聚乙二醇硅
DSPE-PEG-Silane
马来酰亚胺聚乙二醇叠氮
MAL-PEG-N4
磷脂-聚乙二醇-荧光素
DSPE-PEG-FITC
荧光素聚乙二醇巯基
FITC-PEG-SH




齐岳微信公众号
官方微信
库存查询