NH2-PEG-Mannose 氨基聚乙二醇甘露糖
发布时间:2024-01-31     作者:wqy   分享到:
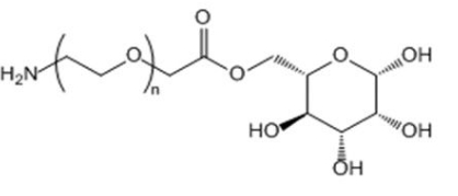
产品名称 氨基聚乙二醇甘露糖 NH2-PEG-Mannose
中文名称 氨基聚乙二醇甘露糖
英文名称 NH2-PEG-Mannose
分子量 10000
溶解度 溶于DMSO DMF等部分有机溶剂
存储条件 -20°冷冻保存,惰性气体保护
保存时间 一年
产品信息

关于我们:
西安齐岳生物科技有限公司是国内的PEG供应商,可以提供不同分子量的PEG衍生物,小分子PEG的循环节可以做到1-36个,高分子PEG分子量从1000-40000不等,产品分类氨基异双聚乙二醇、羧基异双聚乙二醇、巯基异双聚乙二醇、羟基异双聚乙二醇、马来酰亚胺异双聚乙二醇、叠氮异双聚乙二醇、磷脂异双聚乙二醇、活性酯异双聚乙二醇、长脂肪链聚乙二醇(C12/C18)、生物素异双聚乙二醇、叶酸异双聚乙二醇、叔丁酯异双聚乙二醇、硅烷异双聚乙二醇、醛基异双聚乙二醇、炔烃异双聚乙二醇、甘露糖聚乙二醇,产品纯度高达98%以上。
产品名称
NHS-PEG-MAL
羧基聚乙二醇生物素
COOH-PEG-Biotin
活性酯聚乙二醇丙烯酸酯
NHS-PEG-AC
叶酸聚乙二醇马来酰亚胺
FA-PEG-MAL
羧基聚乙二醇硅烷
COOH-PEG-Silane
活性酯聚乙二醇丙烯酰胺
NHS-PEG-ACA
C12-PEG-NH3
月桂酸聚乙二醇氨基
磷脂聚乙二醇氨基
DSPE-PEG-NH3




齐岳微信公众号
官方微信
库存查询