DSPE-PEG-CLS 磷脂聚乙二醇胆固醇
发布时间:2024-02-04     作者:wqy   分享到:
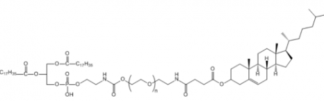
产品名称 磷脂聚乙二醇胆固醇 DSPE-PEG-CLS
中文名称 二硬脂酰基磷脂酰乙醇胺-聚乙二醇-胆固醇
英文名称 DSPE-PEG-CLS
分子量 1000
CAS N/A
溶解度 部分有机溶剂
存储条件 -20°冷冻保存,惰性气体保护
保存时间 1年
产品信息
温馨提示:仅用于科研

关于我们:
西安齐岳生物科技有限公司是国内的PEG供应商,可以提供不同分子量的PEG衍生物,小分子PEG的循环节可以做到1-36个,高分子PEG分子量从1000-40000不等,产品分类氨基异双聚乙二醇、羧基异双聚乙二醇、巯基异双聚乙二醇、羟基异双聚乙二醇、马来酰亚胺异双聚乙二醇、叠氮异双聚乙二醇、磷脂异双聚乙二醇、活性酯异双聚乙二醇、长脂肪链聚乙二醇(C12/C18)、生物素异双聚乙二醇、叶酸异双聚乙二醇、叔丁酯异双聚乙二醇、硅烷异双聚乙二醇、醛基异双聚乙二醇、炔烃异双聚乙二醇、甘露糖聚乙二醇,产品纯度高达98%以上。
产品目录
硅烷聚乙二醇巯基
Silane-PEG-Thiol
硅烷聚乙二醇羟基
Silane-PEG-OH
硅烷聚乙二醇马来酰亚胺
Si-PEG-MAL
硅烷聚乙二醇丙烯酸酯
Silane-PEG-AC
叶酸聚乙二醇磷脂
DSPE-PEG-FA
硅烷聚乙二醇丙炔
Si-PEG-Alkyne
磷脂聚乙二醇活性酯
DSPE-PEG-NHS




齐岳微信公众号
官方微信
库存查询