TCO-PEG-CY7 反式环辛烯聚乙二醇Cy7
发布时间:2024-02-19     作者:wqy   分享到:
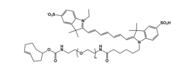
产品名称 TCO-PEG-CY7 反式环辛烯聚乙二醇Cy7
中文名称 CY7-聚乙二醇-反式环辛烯
英文名称 TCO-PEG-CY7
分子量 10000
存储条件 -20°冷冻,干燥保存
保存时间 一年
产品信息 反式环辛烯(TCO)作为亲双烯体与S-四嗪(Tetrazine)在生理条件下的反应有无需催化剂、反应速率快的优点,被广泛应用于生物和材料科学的研究中。
产地 西安
温馨提示:仅用于科研

关于我们
西安齐岳生物科技有限公司是国内的点击化学供应商,可以提供不同分子量的点击化学衍生物,产品类型包括:叠氮-聚乙二醇、炔基-聚乙二醇、二苯基环辛炔(DBCO)、反式环辛烯 (TCO)、环丙烷环辛炔(BCN)、1,2,4,5-四嗪 (S-Tetrazine)、铜加速配体、环丙烯,产品纯度高达98%以上。
部分目录:
四嗪聚乙二醇Cy7
Tetrazine-PEG-Cy3
四嗪聚乙二醇Cy3
Tetrazine-PEG-NH2
四嗪聚乙二醇氨基
Tetrazine-PEG-FITC
四嗪聚乙二醇荧光素
Tetrazine-PEG-cRGD
四嗪-聚乙二醇-环肽RGD
叠氮聚乙二醇磷脂
Azide-PEG-DSPE
Tetrazine-PEG-RGD
四嗪聚乙二醇线肽RGD
Tetrazine-PEG-Folate
四嗪聚乙二醇叶酸
甲氧基聚乙二醇叠氮
mPEG-N3
叔丁氧酰胺聚乙二醇炔基
tBoc-NH-PEG-Alkyne
羧基聚乙二醇二苯基环辛炔




齐岳微信公众号
官方微信
库存查询