DSPE-PEG-GE11,磷脂-聚乙二醇-肿瘤细胞表皮生长因子肽GE11
发布时间:2024-02-20     作者:wqy   分享到:
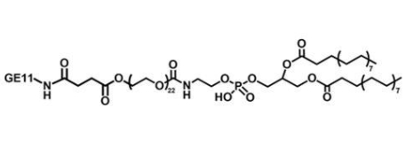
产品名称 DSPE-PEG-GE11,磷脂-聚乙二醇-肿瘤细胞表皮生长因子肽GE11
中文名称 磷脂-聚乙二醇-肿瘤细胞表皮生长因子肽GE11
英文名称 DSPE-PEG-GE11
分子量 2000
CAS N/A
溶解度 有机溶剂等
存储条件 -20℃以下冰冻、干燥、避光。长期保存惰性(氩气或者氮气)保护。
保存时间 一年
产品信息 GE11-PEG-DSPE肿瘤细胞表皮生长因子肽GE11-聚乙二醇-磷脂可做成胶束,EGFR的靶向多肽GE11,该多肽已经被广泛应用于基因和药物的肿瘤靶向导入。磷脂胶束具有较好的肿瘤组织穿透性,对其引入靶向性有可能获得更好的肿瘤组织药物聚集效果。
品牌 西安齐岳生物科技有限公司
产地 西安
温馨提示:仅用于科研

关于我们
西安齐岳生物科技有限公司是国内的脂质体材料供应商,可以提供不同分子量的PEG衍生物,产品类型包括:磷脂酰胆碱系列(PC类磷脂),磷脂酰乙醇胺系列(PE类磷脂),磷脂酰甘油系列(PG类磷脂),磷脂酸系列(PA类磷脂),磷脂酰丝氨酸系列(PS 类磷脂),阳离子脂质材料,溶血磷脂系列,pH 敏感脂质,功能化磷脂,DSPE-PEG-X,DOPE-PEG-X,DMPE-PEG-X,DPPE-PEG-X,产品纯度高达98%以上。
部分目录:
磷脂聚乙二醇氨基
DSPE-PEG-NH2
磷脂聚乙二醇羧基
DSPE-PEG-COOH
磷脂-聚乙二醇-靶向穿膜肽TAT
DSPE-PEG-TAT
磷脂聚乙二醇羟基
DSPE-PEG-OH
磷脂聚乙二醇马来酰亚胺
DSPE-PEG-MAL
磷脂聚乙二醇活性酯
DSPE-PEG-NHS




齐岳微信公众号
官方微信
库存查询