DSPE-PEG-SP94,磷脂-聚乙二醇-肝癌特异靶向肽SP94
发布时间:2024-02-20     作者:wqy   分享到:
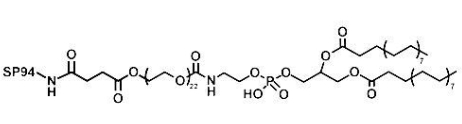
产品名称 DSPE-PEG-SP94,磷脂-聚乙二醇-肝癌特异靶向肽SP94
中文名称 磷脂-聚乙二醇-肝癌特异靶向肽SP94
英文名称 DSPE-PEG-SP94
分子量 3400,现货
CAS N/A
多肽序列 SFSIIHTPILPL
存储条件 避光、防潮、不低于-20℃
保存时间 一年
产品信息 SP94(SFSIIHTPILPL)可与肝癌细胞特异性结合,通过增加肝癌细胞凋亡和抑制肿瘤新生血管形成从而具有重要的临床用途,可用于治疗早期肝癌患者的系统治疗。
品牌 西安齐岳生物科技有限公司
产地 西安
温馨提示:仅用于科研

关于我们
西安齐岳生物科技有限公司是国内的脂质体材料供应商,可以提供不同分子量的脂质体材料,产品类型包括:磷脂酰胆碱系列(PC类磷脂),磷脂酰乙醇胺系列(PE类磷脂),磷脂酰甘油系列(PG类磷脂),磷脂酸系列(PA类磷脂),磷脂酰丝氨酸系列(PS 类磷脂),阳离子脂质材料,溶血磷脂系列,pH 敏感脂质,功能化磷脂,DSPE-PEG-X,DOPE-PEG-X,DMPE-PEG-X,DPPE-PEG-X,产品纯度高达98%以上。
部分目录:
DSPE-PEG-Cy5
磷脂酰丝氨酸系列(PS
类磷脂)(DMPS),105405-50-3105405-50-3
硬酯酰溶血卵磷脂(S-LysoPC),19420-57-6
磷脂聚乙二醇Cy5.5
DSPE-PEG-Cy5.5
DOPE-MCC,384847-49-8
磷脂聚乙二醇Cy7
DSPE-PEG-Cy7
磷脂聚乙二醇Cy7.5
DSPE-PEG-Cy7.5
DSPE-PEG-RGD




齐岳微信公众号
官方微信
库存查询