HS-PEG-PLL Polylysine-PEG-Thiol 巯基聚乙二醇聚赖氨酸
发布时间:2024-02-22     作者:wqy   分享到:
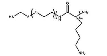
产品名称 巯基聚乙二醇聚赖氨酸 HS-PEG-PLL
中文名称 巯基聚乙二醇聚赖氨酸
英文名称 HS-PEG-PLL Polylysine-PEG-Thiol
分子量 3400
溶解度 溶于三氯甲烷/二氯甲烷等部分有机溶剂
存储条件 -20°冷冻,干燥保存
保存时间 一年
产品信息
产地 西安
温馨提示:仅用于科研

关于我们
西安齐岳生物科技有限公司经营的产品种类包括有:合成磷脂、高分子聚乙二醇衍生物、嵌段共聚物、磁性纳米颗粒、纳米金及纳米金棒、近红外荧光染料、活性荧光染料、荧光标记的葡聚糖BSA和链霉亲和素、蛋白交联剂、小分子PEG衍生物、点击化学产品、树枝状聚合物、环糊精衍生物、大环配体类、荧光量子点、透明质酸衍生物、石墨烯或氧化石墨烯、碳纳米管、富勒烯,二氧化硅及介孔二影产品,荧光蛋白及荧光探针等等。
部分目录:
PLL-PEG-MAL
聚苯丙氨酸聚乙二醇聚苯丙氨酸
PPHE-b-PEG-b-PPHE
聚赖氨酸聚乙二醇叠氮
PLL-PEG-N3
甲氧基聚乙二醇-聚赖氨酸-聚己内酯
mPEG-PLL-PCL
甲氧基聚乙二醇-聚赖氨酸-聚(D,L-丙交酯-co-乙交酯)共聚物
mPEG-PLL-PLGA
巯基聚乙二醇聚赖氨酸
HS-PEG-PLL
聚乳酸聚乙二醇羟基




齐岳微信公众号
官方微信
库存查询