diSulfo-Cy3 bis-NHS ester 二磺酸基Cy3-二活性酯
发布时间:2024-02-27     作者:wqy   分享到:
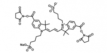
产品名称 diSulfo-Cy3 bis-NHS ester /水溶性CY3-NHS(Bis)
中文名称 二磺酸基Cy3-二活性酯
英文名称 diSulfo-Cy3 bis-NHS ester
分子式 C41H45NaN4O14S2
分子量 904
溶解度 water,DMSO等
存储条件 -20°干燥避光
保存时间 一年
其它信息
产地 西安
温馨提示:仅用于科研

关于我们
西安齐岳生物科技有限公司是国内的荧光染料供应商,我们公司可以提供种类齐全的CY系列染料,从CY3/CY3.5/CY5/CY5.5/CY7/CY7.5的末端各种活性基团包括COOH, NH2, NHS, MAL, N3, ALK, hydrazide, SH等等不同活性基团。
部分目录:
荧光素聚乙二醇磷脂
FITC-PEG-DSPE
Cy5-PEG-N3
罗丹明聚乙二醇羧基
Rhodamine-PEG-COOH
Cy3-PEG-OH
Cy5.5
maleimide/Cyanine5.5
maleimide
Cy5-PEG-OH
罗丹明聚乙二醇巯基
Rhodamine-PEG-SH
Cy5.5-PEG-N3
Cy5.5-PEG-OH




齐岳微信公众号
官方微信
库存查询