ICG-PEG-NH2 吲哚菁绿-聚乙二醇-氨基
发布时间:2024-02-28     作者:kx   分享到:
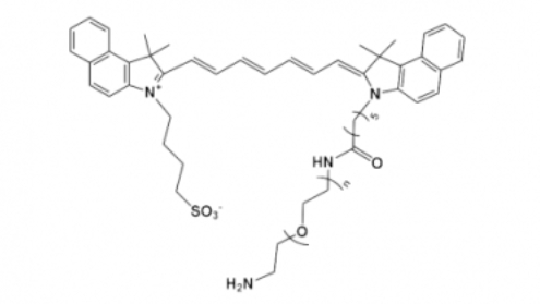
产品名称 ICG-PEG-NH2 吲哚菁绿-聚乙二醇-氨基
中文名称 吲哚菁绿-聚乙二醇-氨基
英文名称 ICG-PEG-NH2
分子量 1000
CAS N/A
存储条件 -20°冷冻,避光
保存时间 一年
性状 绿色固体
ICG是一种带负电荷的聚甲基菁染料,跟CY3,CY5,CY7这些菁染料不同的是它有这较高的吸收和发射波长,它的波长是800nm,虽然ICG的跟CY7.5的波长接近,但ICG却有着CY7.5无法达到的血红细胞结合能力。吲哚菁绿可用于测定心输出量、肝脏功能、肝血流量,和对于眼科血管造影术。

产地:西安
规格:1mg 5mg 10mg
用途:仅用于科研
状态:固体/粉末
温馨提示:仅用于科研,不能用于人体实验!
西安齐岳生物科技有限公司是国内的荧光染料供应商,我们公司可以提供种类齐全的CY系列染料,从CY3/CY3.5/CY5/CY5.5/CY7/CY7.5的末端各种活性基团包括COOH,NH2,NHS,MAL,N3,ALK,hydrazide,SH等等不同活性基团。
相关产品:
RB-PEG-BIOTIN RB-PEG-BN Rhodamine-PEG-BIOTIN
Cy3-PEG-DSPE
Cy3-PEG-Folate Cy3-PEG-FA
Rhodamine B, hexyl ester, perchlorate
trisulfo-ICG carboxylic acid/水溶性ICG COOH
157134-53-7




齐岳微信公众号
官方微信
库存查询