SP94-PEG-DSPE,肝癌特异靶向肽SP94-聚乙二醇-磷脂
发布时间:2024-02-29     作者:wqy   分享到:
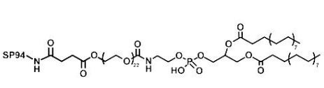
产品名称 SP94-PEG-DSPE,肝癌特异靶向肽SP94-聚乙二醇-磷脂
中文名称 肝癌特异靶向肽SP94-聚乙二醇-磷脂
英文名称 SP94-PEG-DSPE
分子量 3400
CAS N/A
多肽序列 SFSIIHTPILPL
其它分子量 1000、2000、5000、10000(其他分子量可以定制)
存储条件 避光、防潮、不低于-20℃
产品信息
温馨提示:仅用于科研

关于我们
西安齐岳生物科技有限公司经营的产品种类包括有:合成磷脂、高分子聚乙二醇衍生物、嵌段共聚物、磁性纳米颗粒、纳米金及纳米金棒、近红外荧光染料、活性荧光染料、荧光标记的葡聚糖BSA和链霉亲和素、蛋白交联剂、小分子PEG衍生物、点击化学产品、树枝状聚合物、环糊精衍生物、大环配体类、荧光量子点、透明质酸衍生物、石墨烯或氧化石墨烯、碳纳米管、富勒烯,二氧化硅及介孔二影产品,荧光蛋白及荧光探针等等。
部分目录:
iRGD-PEG-AC
iRGD-PEG-Cy3
iRGD-PEG-Cy5
iRGD-PEG-Cy7
Peptide YIGSR
PTP-SH (CKTLLPTP)
TH(AGYLLGHINLHHLAHL(Aib)HHIL)
RGD-PEG-SH
RGD-PEG-Mal
RGD-PEG-NH2
RGD-PEG-COOH




齐岳微信公众号
官方微信
库存查询