diSulfo-Cy5 bis-Thiol /二磺酸基Cy5-二巯基
发布时间:2024-02-29     作者:kx   分享到:
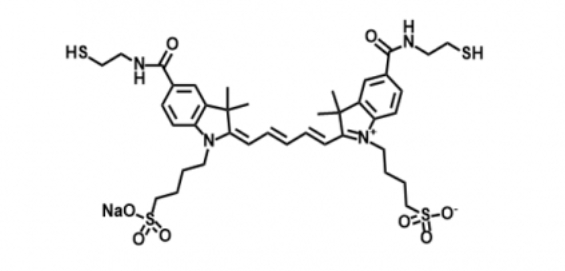
产品名称 diSulfo-Cy5 bis-Thiol /水溶性CY5 Bis-SH
中文名称 二磺酸基Cy5-二巯基
英文名称 diSulfo-Cy5 bis-Thiol
分子式 C39H51N4NaO8S4
分子量 854.25
溶解度 water,alcohols, DMSO, DMF
存储条件 -20°干燥避光
保存时间 一年

产地:西安
规格:1mg 5mg 10mg
用途:仅用于科研
状态:固体/粉末
温馨提示:仅用于科研,不能用于人体实验!
西安齐岳生物科技有限公司是国内的荧光染料供应商,我们公司可以提供种类齐全的CY系列染料,从CY3/CY3.5/CY5/CY5.5/CY7/CY7.5的末端各种活性基团包括COOH,NH2,NHS,MAL,N3,ALK,hydrazide,SH等等不同活性基团。
相关产品:
Cy7-PEG-Biotin
Cy7-PEG-COOH
Cy7-PEG-COOH
Cy7-PEG-COOH
Cy7-PEG-COOH
Cy7-PEG-COOH
Cy7-PEG-COOH
Cy7-PEG-COOH
Cy7-PEG-COOH




齐岳微信公众号
官方微信
库存查询