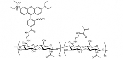
RB-HA-MA 罗丹明透明质酸甲基丙烯酸酯
发布时间:2024-03-01     作者:wqy   分享到:
产品名称 RB-HA-MA 罗丹明透明质酸甲基丙烯酸酯
中文名称 罗丹明-透明质酸-甲基丙烯酸酯
英文名称 RB-HA-MA
溶解度 溶于水
存储条件 -20°C,避光,避湿
保存时间 一年
产品信息
产地 :西安
温馨提示:仅用于科研

关于我们
西安齐岳生物科技有限公司经营的产品种类包括有:合成磷脂、高分子聚乙二醇衍生物、嵌段共聚物、磁性纳米颗粒、纳米金及纳米金棒、近红外荧光染料、活性荧光染料、荧光标记的葡聚糖BSA和链霉亲和素、蛋白交联剂、小分子PEG衍生物、点击化学产品、树枝状聚合物、环糊精衍生物、大环配体类、荧光量子点、透明质酸衍生物、石墨烯或氧化石墨烯、碳纳米管、富勒烯,二氧化硅及介孔二影产品,荧光蛋白及荧光探针等等。
部分目录:
HA-DBCO;
透明质酸-二苯基环辛炔
HA-Cy5;
透明质酸-花菁染料Cy5
HA-PEI;
透明质酸-聚乙烯亚胺
HA-Cy5.5;
透明质酸-花菁染料Cy5.5
HA-mPEG;
透明质酸-聚乙二醇
HA-N3;透明质酸-叠氮




齐岳微信公众号
官方微信
库存查询