udp木糖|cas:108320-89-4|UDP-a-D-Xylosedisodium
发布时间:2022-04-22     作者:zhn   分享到:
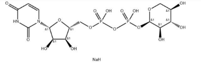
udp木糖|UDP-a-D-Xylosedisodium|108320-89-4
中文名称:UDP-木糖
中文同义词:UDP-木糖;尿苷二磷酸木糖(UDP-XYLOSE,CAS108320-89-4);尿苷二磷酸木糖,钠盐(UDP-XYLOSE,CAS108320-89-4);尿苷-5'-(二磷酸三氢)P'-Α-D-吡喃木糖酯二钠盐;URIDINE5'-(二磷酸三氢),P'-Α-D-吡喃木糖酯二钠盐;尿苷二磷酸木糖,钠盐(UDP-XYLOSE,CAS1083)
英文名称:UDP-a-D-Xylosedisodium
英文同义词:
UDP-a-D-Xylosedisodium;UDP-Xyl.2Na;Uridine5'-(trihydrogenDiphosphate)P'-α-D-xylopyranosylEsterDisodiumSalt;UDP-xylose.2Na
CAS号:108320-89-4
分子式:C14H23N2NaO16P2
分子量:560.27
参数信息
外观状态:固体或粉末
质量指标:95%
溶解条件:有机溶剂/水
储存条件:-20℃避光保存
储存时间:1年
运输条件:室温2周

相关产品:
| UDP-葡萄糖 |
| UDP-葡糖醛酸 |
| UDP-木糖(UDP-Xyl) |
| UDP-Glucose(UDP-Glc)二磷酸尿苷葡萄糖 cas:133-89-1 |
| UDP-Glucose |
| PLGA-PEG-甘露糖苷 |
| NHS改性的甘露糖 |
纯度:99%
产地:西安
用途:仅用于科研
品牌:西安齐岳生物
外观:瓶装
包装:小包装到大包装,可分装
货期:现货(部分需要定制)




齐岳微信公众号
官方微信
库存查询