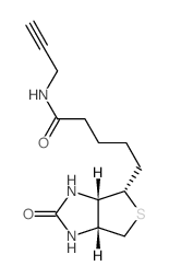
常用名 5-((3aS,4S,6aR)-2-氧代六氢-1H-噻吩并[3,4-d]咪唑-4-基)-N-(丙-2-炔-1-基)戊酰胺
英文名 Biotin alkyne
CAS号 773888-45-2
分子量 281.37400
密度 1.185±0.06 g/cm3(Predicted)
沸点 614.8±50.0 °C(Predicted)
分子式 C13H19N3O2S
![773888-45-2 5-((3aS,4S,6aR)-2-氧代六氢-1H-噻吩并[3,4-d]咪唑-4-基)-N-(丙-2-炔-1-基)戊酰胺 PROTAC 773888-45-2 5-((3aS,4S,6aR)-2-氧代六氢-1H-噻吩并[3,4-d]咪唑-4-基)-N-(丙-2-炔-1-基)戊酰胺 PROTAC](/storage/posts/20240304/1709521648393876.png)
熔点 169-170 °C
生物活性
描述 生物素炔烃是一种基于PEG的PROTAC连接剂,可用于合成PROTAC[1]。
相关类别
信号通路 >> 蛋白裂解靶向嵌合体 >> PROTAC Linker
靶点 PEGs
体外研究 PROTAC包含两个不同的配体,通过连接体连接;一个是E3泛素连接酶的配体,另一个是靶蛋白的配体。PROTAC利用细胞内泛素-蛋白酶体系统选择性降解目标蛋白[1]。
参考文献
[1]. Nalawansha DA, et al. PROTACs: An Emerging Therapeutic Modality in Precision Medicine. Cell Chem Biol. 2020;27(8):998-1014.
物理化学性质
精确质量 281.12000
PSA 95.53000
LogP 1.51010
储存条件 -20°C,干燥,密封
产地:西安
包装:瓶装
厂家:西安齐岳生物科技有限公司
用途:科研
温馨提示:仅用于科研
PROTAC(蛋白降解靶向嵌合体)
PROTAC(PROteolysis TAargeting Chimera)是一种含有两种不同配体的异双功能纳米分子,即泛素E3的配体和靶蛋白的配体。这两个部分通过连接体连接,形成“三单元”聚合物,靶蛋白配体和连接E3连接酶配体。PROTAC分子的构建基块包括PROTAC连接物、PROTAC的靶蛋白的配体、E3连接酶的配体、E3-连接酶-连接物偶联物、靶蛋白-连接物-连接物缀合物等。
PROTACs 相关产品:
1643661-79-3
2241685-22-1
1260247-50-4
2182601-20-1
2107273-48-1
93460-33-4
![773888-45-2 5-((3aS,4S,6aR)-2-氧代六氢-1H-噻吩并[3,4-d]咪唑-4-基)-N-(丙-2-炔-1-基)戊酰胺 PROTAC-UDP糖丨MOF丨金属有机框架丨聚集诱导发光丨荧光标记推荐西安齐岳生物](/images/logo.png)



齐岳微信公众号
官方微信
库存查询