黑磷(B-P)由于其高的载流子迁移率,大开/关比,其可调谐的能带结构吸引了人们越来越多的关注。与石墨烯相比,它被认为是在光学电子设备中运用的有希望的材料。但是,在大气压下B-P容易氧化,这样将会妨碍其应用在实际装置中。为了改进它的这一特性,研究发现合金化B-P是一个不错的选择,比如黑色砷磷合金显示了可调带隙,光学性能和良好的环境稳定性。另一种方式是寻找新的替代材料黑砷(B-As),作为B-P的表兄弟,它具有其类似的结构有的物理和化学性质。
成果简介
报道了一种新的元素二维材料:黑砷,将其应用到场效应晶体管中,展现出良好的性能。该文章以“Thickness-Dependent Carrier Transport Characteristicsof a New 2D Elemental Semiconductor: Black Arsenic”为题,发表在ADVANCED FUNCTIONAL MATERIALS上(DOI:10.1002/adfm.201802581)。
图文导读

图一:b-As晶体的表征。(a)b-As的层状晶体结构;( b)单层和多层b-As片的微拉曼光谱;( c,d)b-As晶体的高分辨率透射电子显微镜(HRTEM)和选区电子衍射(SAED)图像。

图二:单层b-As场效应晶体管(FET)的表征。(a)单层b-As FET横截面;(b)单层b-As FET的原子力显微镜(AFM)图像;(c)在不同漏源电压(-0.01至-1 V)下,单层器件(如图2b所示)的转移特性曲线(Ids-Vg),右边是对数刻度,左边是线性刻度;(d)在不同的栅极电压从0到-20 V下,同一设备的输出特性曲线。

图三:b-As FET的载流子传输的厚度和温度的依赖性。(a)在-0.5V的Vds下,b-As的载流子迁移率和开/关比随厚度的变化;(b)具有三种**厚度(4.6,8.9和14.6nm)砷FET的转移特性曲线。 插图:14.6nm厚的样品的输出特性曲线;(c)在不同温度下9.5nm厚的b-As FET的转移特性曲线(Ids-Vg);(d)温度对载流子迁移率的影响。 载流子迁移率在约230K时具有约52cm2 V-1s-1的峰值。在低温区域,载流子迁移率主要受杂质散射的限制。高于230 K,载流子迁移率随着温度的升高以μαT-α的形式迅速下降,其中α≈0.3。这是由于晶格散射在该温度区域占主导地位。

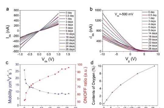
图四:b-As器件的环境稳定性。(a)作为环境暴露时间的函数的少层b-As晶体管的源极 - 漏极I-V曲线。我们可以知道晶体管在26天后仍保持良好的欧姆接触特性;(b)记录26天,晶体管的转移曲线;(c)载流子迁移率和开/关比作为该晶体管的空气暴露时间的函数。 随着曝露时间的增加,该晶体管的迁移率呈非线性,从26 cm2 V-1 s-1减小到约8.4 cm2 V-1 s-1; 然而,ON / OFF比率从大约69增加到大约97.对于这个FET,厚度为砷为11.9nm,沟道长度为≈2μm,沟道宽度分别为≈2μm;(d)b-As中氧的含量随着曝光时间的变化而变化。

图五:少层b-As中计算的电子特性。(a)单层和相关布里渊区原子结构的俯视图;(b)用PBE官能团计算的单层黑砷的带隙结构;(c,d)CBM和VBM的部分电荷分布;(e)黑砷的带隙变化作为层厚度的函数。
小结
总之,我们制备了单层和几层基于b-As的场效应晶体管。并详细研究了它们的电性能。发现电子属性与厚度有关,样品的厚度约为5.7纳米时,具有高载流子迁移率高达约59 cm2 V-1 s-1,厚度约为4.6纳米时,具有大开/关比超过105。在温度相关的载流子迁移率测量时,证明了在230K时观察到峰值; 低于230 K,载流子迁移率主要受杂质散射的限制,但晶格散射在高温下占主导地位。更重要的是,b-As显示出相对良好的环境稳定性。在空气中暴露约一个月后,基于b-As FET仍然很好。我们的结果表明,基于少数的层b-As场效应晶体管是纳米电子器件中有希望的候选者。具有非常大的应用前景。
以上内容均来自网络,如有侵权,请联系在在线客服删除!谢谢
不用于商业用途用途,不能用于人体实验
以上资料来自互联网,如有侵权,请联系我们进行删除
仅用于科研




齐岳微信公众号
官方微信
库存查询