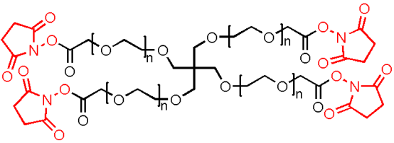
4Arm-PEG20k-NHS, 4Arm-PEG20k-SCM,四臂聚乙二醇20k活性酯l 分子量(PEG):2K,5K,10K.20K
4 arm-PEG20K-NHS
4Arm-PEG20k-NHS, 4Arm-PEG20k-SCM,四臂聚乙二醇20k活性酯
别名:four arm PEG 20kNHS
l 外观:白色/灰白色或淡黄色固体、半固体或液体取决于分子量。
l 溶解度:10 mg/mL在水,氯仿,DMSO中。
l 稳定性:在-20°C下1年,干燥。
l 分子量(PEG):2K,5K,10K.20K。
l 活性基团:NHS。
l 纯度 gt; 95%。
处理和使用:4Arm-PEG-NHS对光和温度敏感。为达到良好使用效果,材料应始终保持低温干燥状态。避免频繁解冻和冰冻。
存储条件:4Arm-PEG-NHS应在-20℃下储存。干燥。可在惰性气体下处理材料以获得良好稳定性。12个月后重新测试材料。
西安齐岳生物科技有限公司供应一系列的环境响应性共聚物产品(二硫键、腙键、柠糠酸)
在2种不同的聚合物之间用二硫键或腙键或柠糠酸连接,使其具备氧化还原敏感型和PH响应型,不同的聚合物有有PEG,PCL,PLA,PLGA,PLL、PGA、PASP、PHIS、PBLA)、PBLG、PAMAM、 PEOz、PEO、PEI、PVP、P4VP,P2VP,PMMA、PAdMA、Poly(2-HEMA、PnBuA、PtBuA,PNPA、PMAA、PtBMA、PtBA、PNPA、PAA、1,2-PB、PIB、PDMS、PPO、PNIPA,葡聚糖(Dextran),壳聚糖(Chitosan),透明质酸(Hyaluronate)、胆固醇、BSA、海藻酸盐等等。我们还可以在这些聚合物的末端带有一些活性基团,使其带有功能化。
厂家:西安齐岳生物科技有限公司
用途:科研
状态:固体/粉末/溶液
产地:西安
储存时间:1年
保存:冷藏
储藏条件:-20℃
温馨提醒:仅供科研,不能用于人体实验
小编ssl2022.4.28




齐岳微信公众号
官方微信
库存查询