1448440-52-5;Fmoc-FAPI-4
发布时间:2024-04-02     作者:wyh   分享到:
产品简介
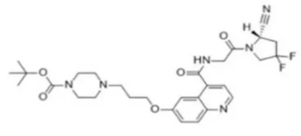
产品名称:Fmoc-FAPI-4
CAS号:1448440-52-5
分子式:C29H36F2N6O5
分子量:586.6
FAPI是一种放射性示踪剂,全称为成纤维细胞活化蛋白抑制剂。为小分子酶活性抑制剂,FAP抑制剂(FAPI)对CAF膜表面的FAP具有高度亲和力及特异性,可用于PET显像,灵敏度高,有利于FAP表达阳性疾病的无创性早期诊断、分期、鉴别诊断和预后评估。
用途:科研
产地:西安
包装:瓶装
厂家:西安齐岳生物科技有限公司
用途:科研
温馨提示:仅用于科研

核素,是指具有一定数目质子和一定数目中子的一种原子 [1]。同一种同位素的核性质不同的原子核,它们的质子数相同而中子数不同,结构方式不同,因而表现出不同的核性质。
厂家信息
西安齐岳生物科技有限公司经营的产品种类包括有:合成磷脂、高分子聚乙二醇衍生物、嵌段共聚物、磁性纳米颗粒、纳米金及纳米金棒、近红外荧光染料、活性荧光染料、荧光标记的葡聚糖BSA和链霉亲和素、蛋白交联剂、小分子PEG衍生物、点击化学产品、树枝状聚合物、环糊精衍生物、大环配体类、荧光量子点、透明质酸衍生物、石墨烯或氧化石墨烯、碳纳米管、富勒烯,二氧化硅及介孔二影产品,荧光蛋白及荧光探针等等。
相关产品
NOTA-Me-Tetrazine大环配体螯合剂
18F-AlF-NOTA-L-L5分子影像PET探针
NOTA-OPE-1-RM26多功能化合物
NOTA-OPE-2-RM26多功能化合物
64 Cu-NOTA-Herceptin分子探针
68Ga-NOTA-DGL




齐岳微信公众号
官方微信
库存查询