DSPE-PEG-CHO MW:2000,二硬脂酰磷脂酰乙酰胺PEG醛基(DSPE-PEG-CHO)
发布时间:2022-05-09     作者:ssl   分享到:
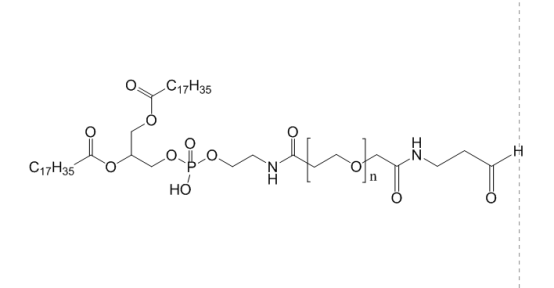
DSPE-PEG-CHO MW:2000,二硬脂酰磷脂酰乙酰胺PEG醛基(DSPE-PEG-CHO)
DSPE-PEG-CHO MW:2000
中文名称:二硬脂酰磷脂酰乙酰胺PEG醛基(DSPE-PEG-CHO)
中文别名:二硬脂酰磷脂酰乙酰胺PEG醛基
英文名称:DSPE-PEG-CHO
分子量:400、600、1000、2000、3400、5000、10000
应用简介:(DSPE)共轭聚乙二醇是磷脂和聚乙二醇结合具有亲水性和疏水性。聚乙二醇磷脂脂质体形成优Z材料,可用于**输送、基因转染和疫苗传递。聚乙二醇化磷脂能**改善血液循环时间和稳定封装**。这些材料还可用于靶向给药通过修改与目标表面配体如抗体、多肽。
状态:固体、半固体到液体,取决于分子量。
溶解性:溶于DMSO,DMF。
保持条件:-20℃长期保存,避光,干燥。
注意事项:取用一定要干燥,避免频繁的溶解和冻干。
纯度(PEG):95%以上
取代率(CHO):90%以上
分散系数(PDI):小于等于1.05
分析:COA、NMR、MALDI-TOF

厂家:西安齐岳生物科技有限公司
用途:科研
状态:固体/粉末/溶液
产地:西安
储存时间:1年
保存:冷藏
储藏条件:-20℃
温馨提醒:仅供科研,不能用于人体实验
小编ssl2022.5.9




齐岳微信公众号
官方微信
库存查询