英文名称: Diketone-PEG3-Diketone
中文名称: 二酮-三聚乙二醇-二酮
描述:
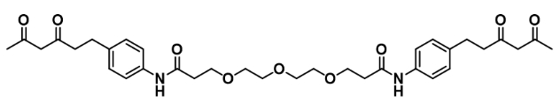
Diketone-PEG2-Diketone是一种化合物,由两个二酮基团连接到一个聚乙二醇(PEG)链上形成。这种化合物可能具有特定的结构和性质,可用于生物偶联化学或其他有机合成反应中。其PEG链可能含有两个乙二醇单元,使得该化合物在功能化学中具有一定的灵活性和水溶性。
三聚乙二醇(PEG3)的引入显著提高了Diketone-PEG3-Diketone的水溶性和生物相容性。PEG作为一种广泛应用的生物相容性聚合物,能够有效改善化合物在生物环境中的稳定性,减少非特异性相互作用,并延长其在体内的循环时间。与较短的PEG链相比,PEG3提供了更长的柔性链段,有助于在空间上更好地调整分子的构象和取向,进一步增强其生物相容性和反应活性。
CAS number :
Appearance:
Molecular formula: C34H44N2O9
Molecular weight: 624.73
Storage conditions: -20°C

产地:西安
用途:科研
厂家:西安齐岳生物科技有限公司
温馨提示:仅用于科研!
关于我们:西安齐岳生物科技有限公司提供Pomalidomide、(S,R,S)-AHPC、BG、GGG、(S)-Di-tert-butyl-2-(3-((S)-6-amino-1-(tert-butoxy)-1-oxohexan-2-yl)ureido)pentanedioate 等小分子靶头衍生物。
相关产品:
(S,R,S)-AHPC-PEG3-SH
(S,R,S)-AHPC-PEG4-Alkyne
(S,R,S)-AHPC-PEG4-Azide
(S,R,S)-AHPC-PEG4-NH2




齐岳微信公众号
官方微信
库存查询