meso四(4-氨基苯基)卟啉,TAPP,定制服务
发布时间:2024-05-08     作者:axc   分享到:
meso四(4-氨基苯基)卟啉,TAPP,定制服务
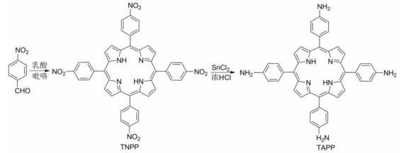
meso-四(4-氨基苯基)卟啉(TAPP)是一种含有四个4-氨基苯基取代基的卟啉类化合物,其分子结构中的四个苯环上分别连接着一个4-氨基苯基基团。
合成 TAPP 可能需要多步反应:
合成 4-氨基苯基化合物:
首先,合成4-氨基苯基化合物,这可以通过适当的合成路线,如对硝基苯进行还原反应或与适当的胺反应得到。
合成 meso-四(4-氨基苯基)卟啉:
将合成的4-氨基苯基化合物与适当的卟啉前体(例如吡咯烯)在适当的条件下进行缩合反应,形成目标产物 meso-四(4-氨基苯基)卟啉。

西安齐岳生物科技有限公司提供种类众多的化学产品,包括peg衍生物,小分子Linker交联剂,卟啉酞菁类大环化合物和大环配体和中间体产品以及其他定制结构的有机化学合成产品,我们公司可以提供纳米载体制剂脂质体。
相关产品:
5-[β-2-(N-咪唑基)戊酰胺]苯基-10,15,20-三[(α α α-2-三甲基乙酰胺)苯基]卟啉
5-{α-2-[4-[12-(1-咪唑)十二烷基]氨基甲酰]-2,2-二甲基丁酰氨基}苯基-10,15,20-三(α α α-2-三甲基乙酰胺基苯基)卟啉
5-(苯并-15-冠-5 )-10,15,20-三对二甲氨基苯基卟啉
5-(苯并-15-冠-5 )-10,15,20-碘化三对甲铵苯基卟啉
双卟啉的合成
10,15,20-三苯基-5-[ 4-[3-[对(10,15,20-三苯基-5-卟啉基)苯氧基]丙氧基]苯基]卟啉

厂家:西安齐岳生物科技有限公司
用途:科研
状态:固体/粉末/溶液
产地:西安
保存:冷藏
温馨提醒:仅供科研,不能用于人体实验AXC.2024.05.08




齐岳微信公众号
官方微信
库存查询