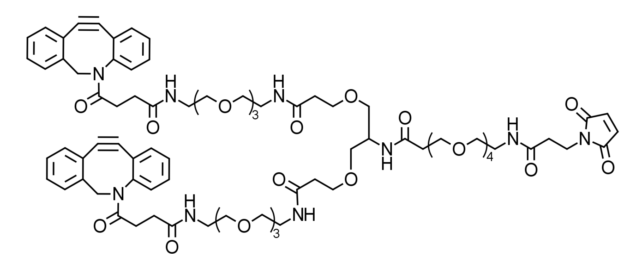
DBCO-MAL-PEG4-BIS-PEG3,Mal-PEG4-(PEG3-DBCO)-(PEG3-TCO)的结构式
发布时间:2022-07-20     作者:ysl   分享到:
Mal-PEG4-bis-PEG3-DBCO
别称:
Mal-PEG4-(PEG3-DBCO)-(PEG3-TCO)
分子式:C81H105N9O22
分子量:1556.75
纯度:>90%
产地:西安
包装:mg与g级别
包装:瓶装
供应商:西安齐岳生物科技有限公司

相关产品
DBCO-PEG-Cholesterol DBCO-PEG-胆固醇
DBCO-PEG-CHEMS DBCO-PEG-半琥珀酸胆固醇
DBCO-PEG-DLPE DBCO-PEG-二月桂酰基磷脂酰乙醇胺
DBCO-PEG-DMG DBCO-PEG-二肉豆蔻酰-sn-甘油
DBCO-PEG-DPG DBCO-PEG-双棕榈酸甘油酯
DBCO-Sulfo-NHS ester,CAS:1400191-52-7,磺化二苯基环辛炔-琥珀酰亚胺酯
DBCO-C6-NHS ester,CAS:1384870-47-6,二苯基环辛炔-碳6-琥珀酰亚胺酯
DBCO-PEG1-NHS ester, CAS:2228857-34-7
产地 :西安
纯度:99%
用途:仅用于科研
温馨提示:仅用于科研,不能用于人体实验!
QY小编 ysl 2022.07.20




齐岳微信公众号
官方微信
库存查询