一氧化碳CO前药化合物的开发及结构优化
一氧化碳(CO)气体能与血红蛋白结构中的血红素(heme)结合,且亲和力是氧气的200倍,从而阻断血红蛋白的供氧功能。
此外,CO还产生强烈的荧光信号,能够实时追踪在复杂生物环境中CO的释放,为研究CO的作用机制和临床应用提供了一类强大的探针工具和有潜力的候选化合物。
西安齐岳生物提供几十种CO前药如下
CO前药,[Fe(CO)4I2],14878-30-9

CAS:14878-30-9
英文名:diiodotetracarbonyl iron(II)
分子式:FeI2C4O4
分子量:421.69
CO前药,[Fe(CO)4I2],14878-20-7

CAS:14878-20-7
英文名: dibromotetracarbonyl Iron(II)
分子式:FeBr2C4O4
分子量:327.69
CO前药,[Fe(CO)3I2(PPh3)],15530-61-7

CAS:15530-61-7
英文名:[[Iodo(Triphenyl)-5-Phosphanyl]-Bis(Oxomethylidene)-7-Iodanylidene]Methanone Iron
分子式:FeI2C21H15O3P
分子量:655.97
CO前药,[Fe(CO)3I2(Py)],62048-78-6

CAS:62048-78-6
英文名:fac-tricarbonyldiiodo(pyridine)iron(II)
分子式:FeI2C8H5O3N
分子量:472.78
CO前药,[CpFe(CO)2Cl],12107-04-9

CAS:12107-04-9
英文名: dichlorotetrakispyridine iron(II)
分子式: FeC7H5O2Cl
分子量:208.38
CO前药,[CpFe(CO)2Br],12078-20-5

CAS:12078-20-5
英文名:Bromodicarbonyl-.π.-cyclopentadienyl iron
分子式:FeC7H5O2Br
分子量:257.87
CO前药,[CpFe(CO)2I],12078-28-3

CAS:12078-28-3
英文名:Dicarbonylcyclopentadienyliodo iron(II)
分子式:FeC7H5O2I
分子量:303.86
CO前药,[Fe3(μ-S)2(CO)9],22309-04-2

CAS:22309-04-2
英文名:[Fe3(μ-S)2(CO)9]
分子式:Fe3S2C9O
分子量:485.77
CO前药,[Fe2(μ-SCH2CH3)(CO)6],15634-62-5

CAS:15634-62-5
英文名:[Fe2(μ-SCH2CH3)(CO)6]
分子式:Fe2S2C10H10O6
分子量:402.00
CO前药,[Fe2(μ-SCH2CH2CH3)(CO)6],30898-01-2

CAS:30898-01-2
英文名:[Fe2(μ-SCH2CH2CH3)(CO)6]
分子式:Fe2S2C12H14O6
分子量:430.06
CO前药,[Fe2(μ-S)2(CO)6],58500-79-1

CAS:58500-79-1
英文名:[Fe2(μ-S)2(CO)6]
分子式:Fe2S2C6O6
分子量:343.88
CO前药,[Fe2(μ-S)2(CO)6],15492-14-5

CAS:15492-14-5
分子式:Fe2S2C8H4O6
分子量:372.94
CO前药,[Fe2(μ-SCH2CH2CH2S)(CO)6],70789-83-2

CAS:70789-83-2
英文名:Fe2(CO)6(μ-propanedithiolate)
分子式:Fe2S2C9H6O6
分子量:385.96
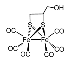
CO前药,[Fe2{(μ-SCH2)-(μ-SCH)CH2OH}(CO)6],254907-30-7

CAS:254907-30-7
英文名:[Fe2{(μ-SCH2)-(μ-SCH)CH2OH}(CO)6]
分子式:Fe2S2C9H6O7
分子量:401.96
CO前药,[Fe2{(μ-SC2H4)(μ-SCH)(CH2)4COOH}(CO)6],106238-55-5

CAS:106238-55-5
英文名:[Fe2{(μ-SC2H4)(μ-SCH)(CH2)4COOH}(CO)6]
分子式:Fe2S2C14H14O8
分子量:486.08
CO前药,[Fe2(μ-SCH2CHOHCH2OH)2(CO)6],1616349-09-7

CAS:1616349-09-7
英文名:[Fe2(μ-SCH2CHOHCH2OH)2(CO)6]
分子式:Fe2S2C12O10H14
分子量:494.05
小编zhn2021.4.12




齐岳微信公众号
官方微信
库存查询