DOPE-PEG2000-SH:巯基功能化磷脂用于可控偶联与还原响应
一、产品概述
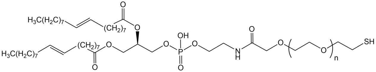
中文名称:DOPE-PEG2000-SH
英文名称:1,2-Dioleoyl-sn-glycero-3-phosphoethanolamine-N-[thiol(polyethylene glycol)-2000]
缩写名称:DOPE-PEG2000-SH 或 DOPE-PEG-SH
分子量:约2800–3200 Da
结构类型:两亲性功能化磷脂-聚合物衍生物
功能基团:末端巯基(–SH)
DOPE-PEG2000-SH 是一种末端含巯基的功能磷脂材料,兼具良好的膜锚定能力、PEG链的立体稳定性以及巯基的化学活性,广泛用于纳米粒子修饰、脂质体构建、金属材料表面功能化、
靶向分子偶联等应用场景。
二、结构组成与分子设计
DOPE-PEG2000-SH 分子由三部分组成:
DOPE 结构(疏水尾部)
DOPE,全称为1,2-二油酰-sn-甘油-3-磷酸乙醇胺,由两条油酸(C18:1)脂肪酸构成;
易形成脂质体、囊泡、人工膜结构,具有优异的膜融合与流动性。
PEG2000 链段(亲水链段)
分子量约2000 Da,约含45个乙二醇重复单元;
提供疏水屏障,防止颗粒聚集,提升体系稳定性和生物相容性。
末端巯基(–SH)
活性强,能与金属表面(如金、银)、马来酰亚胺(Mal)、烯烃、醛、卤代烷等反应;
可用于自组装、共价固定或点击反应。
三、物化性质
项目 描述
分子量 约2800–3200 Da
疏水尾部 C18:1 ×2,具有高流动性和膜亲和性
PEG链长度 约45个重复单元
活性基团 巯基(–SH),对金属/马来酰亚胺反应活跃
亲水性 PEG链亲水,水中可形成胶束/脂质体结构
溶解性 溶于DMSO、DMF、氯仿、乙醇等有机溶剂
储存稳定性 在低温干燥避光条件下保存,避免氧化
四、核心功能与优势
1. 功能化偶联能力强
巯基具有独特的反应性,可用于:
与金属纳米材料(Au、Ag、Cu)形成稳定的硫-金属键;
与马来酰亚胺(Mal)反应形成稳定的硫醚键;
与烯烃进行巯基-烯反应(thiol-ene);
用于巯基点击化学(thiol-click)。
2. 膜锚定功能强
DOPE尾部可稳定嵌入脂质膜、人工囊泡、生物膜、细胞膜等;
实现粒子包覆、膜表面修饰或修饰外泌体、细胞膜囊泡等。
3. 生物相容性优异
PEG链提供立体屏障,避免非特异吸附和免疫清除,适合体内外生物系统;
常用于长循环脂质体、稳定纳米结构、免疫隐形系统构建。
4. 支持多种修饰策略
可与带有Mal的荧光分子、药物、蛋白、抗体共价连接;
可连接于金属表面(如构建金纳米粒子/金电极传感器);
适配生物传感器、电极、表面组装等多种平台。
五、主要应用领域
1. 脂质体/纳米载体功能化
掺杂 DOPE-PEG-SH 后,在脂质体表面引入活性巯基;
可用于与Mal-修饰的肽、抗体、适配体、探针等偶联;
构建靶向递送系统、成像脂质体或诊疗一体化平台。
2. 贵金属表面修饰(金/银等)
利用巯基与金属表面的亲和力,构建稳定单分子层;
应用于纳米金棒、金壳纳米粒子、金属电极的功能修饰;
常用于SPR传感器、SERS探针、生物界面工程等。
3. 点击化学构建平台
巯基-烯烃、巯基-炔类反应在温和条件下进行;
应用于水凝胶、组织工程支架、微球等生物材料的后修饰。
4. 外泌体或细胞膜功能修饰
插入外泌体或细胞膜表面,实现“隐形化”或靶向化;
用于构建“工程化细胞膜/囊泡”系统。
六、使用建议
1. 脂质体组装
与DSPC、DOPC、Chol、DSPE-PEG等共混制备;
掺入比例建议:0.5–5 mol%;
使用方法:薄膜水化法、乙醇注入法、微流控脂质体等。
2. 偶联反应条件
项目 建议数值
pH 6.5–7.5(中性至弱酸性更利于稳定)
溶剂 PBS、HEPES、含有少量DMSO/乙醇
反应配对物 MAL修饰物、金属、丙烯酸衍生物等
反应时间 1–4小时
注意事项 反应体系需避光、避氧,加入TCEP可还原–S–S–
3. 巯基保护与激活
巯基容易氧化成二硫键(–S–S–),可使用TCEP还原剂处理;
建议现配现用,或以冻干状态保存,避免空气接触。
七、注意事项
避免氧化:巯基极易氧化,操作过程中应尽可能在惰性气体(N₂/Ar)环境下进行;
避免高pH环境:在碱性条件下–SH易失活,推荐 pH 6.5–7.5;
避免金属离子污染:游离Cu²⁺、Fe³⁺ 等金属离子可能催化氧化反应;
必要时使用还原剂(如TCEP、DTT)恢复活性;
储存应干燥避光:–20°C 冻干保存佳。
八、订购信息(示例)
项目 内容
产品名称 DOPE-PEG2000-SH
产品编号 DOPE-PEG2K-SH
分子量 约3000 Da
纯度 ≥95%(HPLC)
储存条件 –20°C 干燥避光,惰性气体保护
包装规格 5 mg / 10 mg / 25 mg / 50 mg / 定制
提供资料 COA、结构图、MSDS、安全技术说明、使用建议
九、总结
DOPE-PEG2000-SH 是一类理想的功能化磷脂材料,兼具膜锚定、表面稳定与生物偶联三大关键特性。其巯基反应活性高,适配多种生物材料、金属表面或功能配体,是构建靶向脂质体、生物探针、膜工程载体、贵金属传感器等前沿研究平台的关键原材料之一。
它在药物递送、生物材料、生物传感、表面工程等领域展现出巨大的潜力和多样性,是纳米生物技术、医学、合成生物学等领域的重要工具分子。
西安齐岳生物科技有限公司专注于高品质聚乙二醇(PEG)及其衍生物的研发与生产,提供涵盖线性PEG、支化PEG、多官能团PEG、嵌段共聚物PEG等在内的多种基础结构产品,广泛应用于生物医药、诊断试剂、纳米材料及化学合成等领域。公司具备灵活的定制能力,可根据客户需求提供特定分子量(200–20,000 Da)、官能团(如-NH₂、-COOH、-SH、-N₃、-Biotin、荧光标记等)以及不同结构的PEG修饰服务。凭借先进的合成平台与严格的质量控制体系,齐岳生物致力于为科研、药物开发和材料应用提供可靠、稳定、可追溯的PEG解决方案,支持客户实现从实验室研究到产业转化的各类需求。
厂家:西安齐岳生物科技有限公司
用途:科研
状态:固体/粉末/溶液
产地:西安
温馨提醒:仅供科研,不能用于人体实验!
相关产品:
DSPE-PEG2000-CY7.5
DSPE-PEG2000-RB
DSPE-PEG2000-ICG
DSPE-PEG2000-PBA
DSPE-PEG2000-GA
DSPE-PEG2000-DTPA
DSPE-PEG2000-OH
DSPE-PEG2000-Alkyne




齐岳微信公众号
官方微信
库存查询