常用名 N-(3-叠氮丙基)生物素胺
英文名 Biotin-azide
CAS号 908007-17-0
分子量 326.41800
分子式 C13H22N6O2S
熔点 168 °C

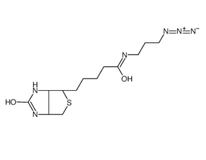
Biotin-azide 是一种含生物素基团的叠氮化合物,其结构由生物素核心通过连接基团(通常为碳链)与叠氮基 (-N₃) 相连。叠氮基提供了点击化学(Click Chemistry)中的活性位点,可与含炔基的分子通过铜催化的叠氮-炔环加成反应 (CuAAC) 或铜自由反应 (strain-promoted azide-alkyne cycloaddition, SPAAC) 实现高效、特异的共价结合。
应用领域
Biotin-azide 由于结合了生物素高亲和性和叠氮基可点击特性,广泛应用于分子生物学、化学生物学和材料科学:
蛋白质标记:通过点击化学将Biotin-azide与炔基修饰的蛋白质结合,实现可捕获或可检测的生物素标记
核酸标记:标记含炔基的DNA/RNA,实现生物素化核酸用于亲和纯化或检测
生物分子捕获与富集:利用生物素-亲和素系统(Streptavidin)进行蛋白、抗体或其他生物分子的富集和纯化
细胞表面标记:可与膜上炔基修饰分子反应,实现特异性标记
荧光探针构建:与荧光炔基化分子点击生成荧光标记生物素衍生物
储存与注意事项
储存条件:-20°C 干燥避光保存
稳定性:叠氮基在高温或强酸强碱条件下不稳定,应避免长时间暴露
关于我们:
西安齐岳生物科技有限公司是一家从事原料药、MOF,离子液体 ,PEG衍生物、科研试剂、多肽、光电材料、碳纳米管、纳米材料、脂质体、合成磷脂的研发、定制合成、生产和销售的高科技生物科技有限公司
相关推荐:
246256-50-8,5(6)-羧基四甲基罗丹明活性酯
IR808双活性酯,IR808-NHS
罗丹明标记甲基丙烯酰化明胶 GelMA
FITC conjugated GelMA
DOTA-三甘氨酸,DOTA-GGG
2183440-59-5,二磺酸基Cy7-马来酰亚胺
2230212-27-6,sulfo Cy5(Me) SE
146368-14-1,Sulfo-Cy5-E 琥珀酰亚胺酯
Cy3.5-E 琥珀酰亚胺酯,Cyanine3.5-SE
磺酸基Cy3-活性酯,146368-16-3
cas:2007915-94-6,DBCO胺TFA盐




齐岳微信公众号
官方微信
库存查询