英文名 Biotin-11-dUTP
CAS号 86303-25-5
分子量 862.67
分子式 C28H45N6O17P3S
状态:固体/粉末/溶液
保存:冷藏
供应:西安齐岳生物科技有限公司

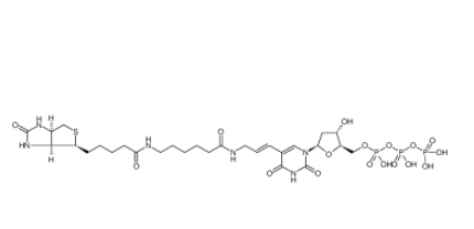
Biotin-11-dUTP是一种核苷酸类似物,其核心为脱氧尿苷三磷酸(dUTP),在核糖11位碳通过长链(11碳)柔性链与生物素(biotin)共价连接。生物素是一种水溶性维生素衍生物,能够与亲和素(streptavidin)或凝血素(avidin)形成高亲和力结合。通过Biotin-11-dUTP的掺入,可以将生物素标记稳定地整合到DNA分子上,实现高效的荧光或酶标检测、免疫捕获以及核酸探针制备。
应用领域:
荧光与酶标核酸探针:通过生物素与亲和素或标记酶结合,实现DNA探针的可视化或信号放大。
原位杂交(FISH):在染色体或组织切片中掺入Biotin-11-dUTP,配合荧光标记的亲和素检测目标序列。
免疫捕获与富集:生物素标记的DNA或寡核苷酸可通过亲和素磁珠进行捕获,用于片段富集、筛选或分离实验。
PCR及扩增反应:可替代天然dTTP部分掺入DNA,实现标记化扩增产物。
芯片与高通量分析:用于DNA微阵列、序列分析及基因表达研究,通过生物素-亲和素体系实现信号检测。
优势特点:
11碳长链柔性生物素提供空间缓冲,减少对DNA聚合酶的阻碍
高亲和力结合亲和素,实现灵敏检测
水溶性和化学稳定性良好,便于多种实验操作
可在PCR、随机引物延伸及原位杂交等多种实验中使用
使用注意事项:
储存于-20°C避光干燥
配制缓冲液应避免高浓度EDTA和强金属离子
在PCR或DNA扩增实验中可与天然dTTP按比例混合,以保证聚合效率
避免反复冻融,以保持活性
相关推荐:
149838-22-2,FM 1-43膜电位荧光探针
172807-13-5,RH795膜电位荧光探针
RH 414膜电位荧光探针(161433-30-3)
RH 421膜电位荧光探针,107610-19-5
RH237膜电位荧光探针
157134-53-7(Di-8-ANEPPS)膜电位荧光探针
Di-2-ANEPEQ(160605-94-7)
膜电位荧光探针90134-00-2(Di-4-ANEPPS)
螯合物前体肽DOTA-cyclo(Arg-Gly-Asp-DPhe-Lys)
螯合物前体肽DOTA-Ala-Ala-Tyr-Acid




齐岳微信公众号
官方微信
库存查询