英文名 DOTA-(Tyr3)-Octreotide acetate salt
CAS号 204318-14-9
分子量 1421.64000
密度 1.46g/cm3
沸点 1723.7ºC at 760 mmHg
分子式 C65H92N14O18S2
闪点 996.2ºC

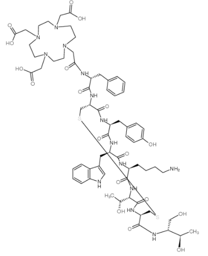
DOTA-[Tyr³]-Octreotide 是一种功能化化学分子,由环状多齿螯合剂 DOTA 与改性环状多肽 [Tyr³]-Octreotide 通过共价连接形成的多功能分子。
DOTA-[Tyr³]-Octreotide 主要由三部分组成:核心螯合剂 DOTA、连接链以及环状多肽 [Tyr³]-Octreotide。DOTA(1,4,7,10-四氮杂环[2.2.2.2]二十烷-1,4,7,10-四乙酸)是一种环状多齿螯合剂,其结构包含四个氮原子和四个羧基,提供多重配位位点,使分子具备高度稳定的金属络合能力。环状 DOTA 环的刚性结构能够维持分子在溶液中的空间稳定性,同时羧基和氮原子为化学反应提供活性位点,可与多肽或其他有机分子形成共价键。
[Tyr³]-Octreotide 是 Octreotide 的衍生环状多肽,在第三位氨基酸上引入了酪氨酸(Tyr)残基,赋予分子额外的化学反应位点。酪氨酸侧链的酚羟基可通过酰胺化、醚化或其他有机化学方法进行修饰,从而为分子的功能化提供更多灵活性。环状多肽结构保证了分子整体的构象稳定性,并为分子在溶液中保持均匀分散提供了优势。多肽片段中的氨基和羧基也可用于与 DOTA 的羧基或活化基团进行共价连接。
DOTA-[Tyr³]-Octreotide 的合成通常包括多步化学反应。首先,合成或获得环状 [Tyr³]-Octreotide 多肽,并对其活性官能团进行保护或功能化处理,以便在后续反应中选择性连接 DOTA。随后,通过酰胺化或点击化学等方法将 DOTA 螯合剂与多肽连接,形成稳定的共价键。在整个合成过程中,严格控制溶剂类型、温度、pH 值及反应时间是确保产物高纯度和高收率的关键。产物通常通过高效液相色谱(HPLC)、质谱(MS)及核磁共振(NMR)进行结构确认与纯度分析。
在化学性质方面,DOTA-[Tyr³]-Octreotide 兼具稳定性和功能性。DOTA 提供的螯合能力确保分子可与金属离子形成高稳定性络合物,而环状多肽的空间构型赋予分子刚性和溶解性,保证其在水相或有机溶剂中均匀分散。酰胺键连接和多肽环化构型确保分子在常温及中性 pH 条件下长期保持稳定,化学结构完整。酪氨酸侧链的酚羟基增加了化学修饰和功能化潜力,使分子具备进一步改造和多功能化的可能。
相关推荐:
115853-74-2,DMAE-NHS
60842-46-8,TRITC-Dextran
329912-47-2,L-Norvaline
Fmoc-L-Photo-Leucine,1360651-24-6
大环化合物Alkyne-Diazirine-Mal
1681056-61-0,OSMI-1
Silane-PEG-COOH
1802908-03-7,Methyltetrazine
IC MethylTetrazine
FM 1-43膜电位荧光探针,149838-22-2
RH 414膜电位荧光探针,161433-30-3




齐岳微信公众号
官方微信
库存查询