选择性N-钙粘蛋白拮抗剂,1135237-88-5,ADH-1 trifluoroacetate
发布时间:2025-09-11     作者:zy   分享到:
常用名 ADH-1三氟乙酸盐
英文名 Exherin (trifluoroacetate)
CAS号 1135237-88-5
分子量 684.70900
分子式 C24H35F3N8O8S2
熔点 N/A
状态:固体/粉末/溶液
保存:冷藏
供应:西安齐岳生物科技有限公司

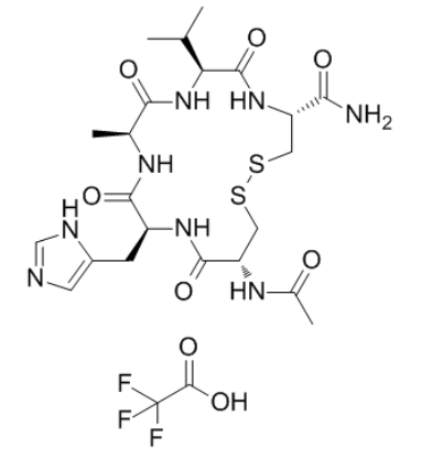
ADH-1 三氟乙酸盐的结构包含一个五肽环状结构,连接多个氨基、酰胺和芳香基团。
从化学结构上看,ADH-1 三氟乙酸盐的环状骨架包含氨基、酰胺以及芳香基团。分子中的芳香环提供了刚性框架,而氨基和酰胺官能团则可作为配位或分子间相互作用的活性位点。环状肽的这种多功能特性,使其能够通过分子间氢键、疏水作用及 π-π 相互作用与其他分子形成稳定的复合物,从而成为分子工程、材料设计及化学功能化的重要工具。
ADH-1 三氟乙酸盐的环化和结构特性赋予其在实验操作中的优势。该化合物通常为白色至淡黄色粉末,可溶于有机溶剂如 DMSO、乙腈和乙醇,但在水中溶解性有限。其化学稳定性较高,在常温下和中性或弱酸碱条件下能保持结构完整。储存时,通常建议保持干燥、低温环境,以延长分子的稳定性。
相关推荐:
荧光标记试剂X-Rhodamine Maleimide
Rhodamine X Amine,ROX氨基
2196185-85-8 (5位),6-Rhodamine X COOH
1890922-83-4,6-Rhodamine X NHS
5(6)-TAMRA Azide,1192590-89-8
6 TAMRA-Amine,四甲基罗丹明氨基
荧光染料91809-67-5,6-TAMRA COOH
TAMRA-NHS ester,150408-83-6
6-Rhodamine 6G Amine




齐岳微信公众号
官方微信
库存查询