英文名称: DOTA-CH2-Alkynyl (TFA salt)
中文名称: 10-(2-丙基 -1-基) -1,4,7,10-四氮杂环十二烷 -1,4,7-三乙酸,三氟乙酸盐
MF: C17H28N4O6
MW: 384.43
CAS: 1189194-65-7
用途:科研
状态:固体/粉末/溶液
保存:冷藏
供应:西安齐岳生物科技有限公司

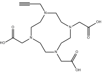
DOTA-CH2-Alkynyl (TFA salt)是一种多齿螯合剂衍生物,基于DOTA骨架,通过在羧酸末端引入丙炔(alkynyl)功能基并形成三氟乙酸盐,实现了化学活性扩展与稳定操作的平衡。该分子兼具金属离子螯合能力和可进一步化学偶联能力,可用于分子探针设计、金属配合物研究及功能化小分子构建。
化学结构与性质
DOTA-CH2-Alkynyl的核心是DOTA环,由四个氮原子组成的十二元环,配合四个乙酸臂形成八齿配位位点。与DOTA相比,其改造特点在于:
丙炔端基(CH2-Alkynyl):在DOTA羧酸末端通过亚甲基连接丙炔官能团,提供了可进行“点击”化学(如铜催化叠氮-炔环加成反应)或其他共价偶联反应的活性位点。
三氟乙酸盐形式(TFA salt):末端氨基或羧酸被三氟乙酸盐化,提高了分子在操作和储存过程中的稳定性,同时改善水溶性和结晶特性。
物理化学性质方面,DOTA-CH2-Alkynyl (TFA salt)为白色至淡黄色粉末,易溶于极性有机溶剂如DMF、DMSO、乙腈,水溶性适中。其分子量适中,结构对称且规整,利于均一配合物和偶联产物的形成。
化学功能与作用机制
DOTA-CH2-Alkynyl分子结合了两个核心功能:
金属离子螯合能力
DOTA骨架提供八齿配位位点(四个氮原子和四个羧酸氧原子),能够与多种金属离子形成高度稳定的配合物。配合物具有热力学稳定性高、动力学惰性强的特点,金属离子被牢固固定于DOTA环内,减少解离和非特异性结合风险。
化学偶联活性
丙炔端基作为末端功能团,具有很高的反应活性,可与叠氮、卤代烷或其他可进行炔-叠氮环加成的分子进行共价偶联。该设计为分子功能化提供了灵活性,可实现分子标记、分子探针构建或功能性小分子连接。
关于我们:
西安齐岳生物科技有限公司是一家从事科研试剂、多肽、小分子PEG衍生物、石墨炔(graphyne)发光材料、金属配合物发光材料、超分子、光刻胶、催化剂、光电材料、MAX相陶瓷,碳纳米管、原料、纳米材料、钙钛矿、蛋白质交联剂、光引发剂,脂质体、合成磷脂的研发、定制合成、生产和销售的高科技生物科技有限公司
相关推荐:
RGDtumor靶向肽
JOE alkyne, 6-isomer;CAS:125607-09-2
139115-90-5,叠氮-二聚乙二醇,2-(2-Azidoethoxy)ethanol
3-Azido-1-Propanol,72320-38-8
3-Azidopropanoic acid,CAS:18523-47-2,叠氮丙酸
7-Azido-Heptanoic Acid,7-叠氮庚酸,CAS:135920-28-4
8-Azido-octanoic acid,217180-76-2,MFCD24452473
824426-32-6,Azidoacetic acid NHS ester
氨基-六聚乙二醇-叠氮,957486-82-7,Azido-PEGn-amine




齐岳微信公众号
官方微信
库存查询