您当前所在位置:首页 > 宣传资料 > 生物偶联
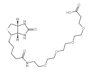
生物素-PEG24-酸,721431-18-1结合了生物素的高亲和性
发布时间:2025-09-17     作者:kx   分享到:

常用名 15-[D-(+)-生物素氨基]-4,7,10,13-四氧杂十五烷酸

英文名 Biotin-PEG4-acid

CAS号 721431-18-1

分子量 491.59900

密度 N/A

生物素-PEG24-酸

沸点 N/A

分子式 C21H37N3O8S

熔点 N/A

MSDS N/A

闪点 N/A

产品简介:

生物素-PEG24-酸是一种由生物素分子通过24个乙二醇单元(PEG24)连接至羧基末端的功能化分子。该设计结合了生物素的高亲和力与PEG链提供的水溶性和空间缓冲特性,使其在生物分子标记、连接和探针制备中具有广泛应用。

化学特性方面,生物素-PEG24-酸末端羧基提供了化学活性位点,可通过酯化或酰胺化等化学反应与蛋白质、多肽或其他含氨基的分子进行共价连接。PEG24链的长度适中,在保持水溶性的同时提供了分子间距离缓冲,降低标记分子间的空间阻碍和非特异性结合,提高偶联效率。生物素末端可与亲和素、链霉亲和素或其他生物素结合蛋白特异性结合,为后续检测或捕获提供可靠手段。

在应用上,生物素-PEG24-酸主要用于生物分子修饰、表面功能化以及荧光或酶标探针制备。它可用于蛋白质、*体或多肽的标记,便于在酶联免疫、流式细胞分析和生物分子捕获实验中实现可控结合和检测。PEG链增加了水溶性,适合在水相缓冲液中操作,减少非特异性结合的风险。同时,羧基末端可进一步进行化学偶联,为多功能探针或载体构建提供灵活性。

使用注意方面,生物素-PEG24-酸在储存和操作中应避免强酸、强碱或高温条件,以免影响羧基活性。标记或偶联反应通常在pH 7.0–8.5的缓冲液中进行,保证反应效率。反应完成后,可通过透析、柱层析或超滤去除未反应的试剂,获得纯化产物。储存建议低温避光,以保持化学活性和水溶性性能。

总体来看,生物素-PEG24-酸结合了生物素的高亲和性、PEG链的水溶性和末端羧基的化学可修饰性,是一种多功能工具分子,适用于生物分子标记、表面功能化及探针制备实验,为科研提供操作便利和实验可靠性。

来源产地:

本产品由陕西省西安市生产,品质可靠,可满足科研实验的需求

包装规格:

提供多种规格选择,瓶装包装灵活,用户可根据实验需求选择 50 mg、100 mg、250 mg 或 500 mg

产品形态:

可提供固体、粉末及溶液形式,适应不同实验操作需求

储存说明:

建议置于低温冷藏环境,避免光照和潮湿,以保持产品活性与性能稳定

品牌介绍:

西安齐岳生物科技有限公司专注于科研药物传递及纳米靶向技术的研发和生产。公司产品涵盖合成磷脂、PEG 系列衍生物、嵌段共聚物、纳米金属及磁性纳米颗粒、介孔二氧化硅、活性荧光染料、荧光量子点、点击化学试剂及大环配体等多个领域。秉持创新理念,致力于为国内科研机构和相关单位提供高质量科研试剂,支持科学研究的顺利开展。

(内容整理:小编kx,仅供科研用途)

产品推荐:

N3-PEG4-CH2COOtBu,864681-04-9

SulfoCy5.5 NHS标记IgG,(D-ser2)-leucine-enkephalin

Alexa Fluor 488 TFP 酯

大环化合物817562-90-6,(R)-DOTAGA-四叔丁酯,磁共振成像探针

反式环辛烯三聚乙二醇氨基

CAS2242902-55-0 脱硫生物素苯酚 Desthiobiotin-phenol

127985-74-4,DOTA-P-苯-NCS


库存查询