英文名 RH 795
CAS号 172807-13-5
分子量 N/A
分子式 N/A
熔点 N/A
用途:科研
状态:固体/粉末/溶液
保存:冷藏
供应:西安齐岳生物科技有限公司

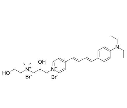
RH 795 是一种高灵敏度的苯乙烯基膜电位荧光探针,属于 RH 系列膜电位染料。该类染料结合了苯乙烯基共轭染料结构和胺盐/季铵正电荷官能团,使分子能够嵌入磷脂双层膜表面并对膜电位变化显示荧光响应。RH 795 以其强光学响应和高膜选择性而广泛应用于膜体系研究、纳米材料表面分析以及化学光学探针开发。
分子结构与化学特征
RH 795 的分子结构可概括为三大模块:
苯乙烯基共轭体系
分子核心为苯乙烯基共轭结构,形成广泛的 π-电子体系,赋予分子强烈的可见光吸收能力和荧光发射特性。该共轭体系对环境极性及膜嵌入状态高度敏感,可在膜表面或不同溶液极性下产生可测量的荧光变化。
疏水性烷基链
RH 795 含有疏水性脂肪链,使分子能够嵌入膜脂双层的疏水核心部分。疏水链长度适中,保证分子在膜表面或膜浅层稳定嵌入,同时允许分子在膜表层自由移动,便于膜动力学研究。
胺盐或季铵正电荷基团
分子末端带有正电荷的胺盐或季铵基团,使其在水性环境中具有良好分散性,并能通过静电作用与膜极性头基区域结合。这一结构还增强了分子在膜表面的定位能力,使其荧光响应更加稳定可靠。
用途与应用
RH 795 的化学结构和光学特性,使其在材料科学、膜体系和纳米材料研究中有多种应用:
膜动力学和膜电位研究
RH 795 可嵌入人工膜或磷脂双层膜模型,通过荧光信号变化监测膜表面分子分布、膜流动性及膜电位变化。
纳米材料表面标记
荧光染料可用于功能化纳米颗粒或膜包覆材料,使其表面形成可追踪的荧光标记层,用于材料表面分析和动态行为研究。
光学追踪与膜环境分析
分子在膜表面的荧光响应可反映膜电位、膜微环境和表面极性变化,适用于光学追踪和膜界面研究。
材料界面极性监测
RH 795 嵌入膜表面后,其荧光信号对极性变化敏感,可用于分析膜-材料界面特性及膜表面局部环境。
相关推荐:
mPEG-Cyanuric Chloride
mPEG-Succinyl Chloride
mPEG-2-Bromo-2-methylpropanoic acid ethyl ester
mPEG-Br
mPEG-IA
I-PEG-COOH
N3-PEG-Br
Br-CH2CO-NH-PEG-OH
COCl-PEG-NH-Mal
Br-PEG-OH
SH-PEG-Br
IA-PEG-NH2
LA-PEG-NMe3+Br-




齐岳微信公众号
官方微信
库存查询