您当前所在位置:首页 > 宣传资料 > 生物偶联
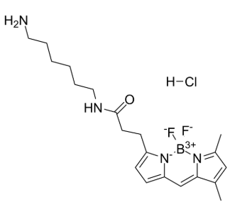
2183473-03-0,BODIPY FL NH2是 BODIPY 系列的氨基修饰荧光染料
发布时间:2025-09-19     作者:kx   分享到:

常用名 BDP FL amine

英文名 BDP FL amine

CAS号 2183473-03-0

分子量 426.739

密度 N/A

2183473-03-0

沸点 N/A

分子式 C20H30BClF2N4O

熔点 N/A

MSDS N/A

闪点 N/A

产品简介:

BODIPY FL NH₂ 是 BODIPY 系列的氨基修饰荧光染料,其主要特点是绿色荧光发射(通常激发波长约 503 nm,发射波长约 512 nm),明亮且光稳定。分子末端的伯胺基团为化学修饰提供了活性位点,使其能够与含活性酯或其他可反应功能团的分子进行共价连接,实现靶向标记和荧光探针构建。

光学性能方面,BODIPY FL NH₂ 发射光谱窄、量子产率高,光稳定性好,适合低浓度标记和长时间成像。其绿色荧光信号清晰,易于与其他颜色荧光染料结合使用,实现多通道成像而互不干扰。分子结构中的刚性共轭体系减少了非辐射弛豫,使其在生物实验中提供稳定荧光信号。

化学特性上,氨基基团可以与 N-hydroxysuccinimide 酯、异氰酸酯或酸活化衍生物发生共价反应,方便将 BODIPY FL NH₂ 连接到蛋白质、多肽、*体或其他小分子。标记后的分子通常表现出良好的水溶性和稳定性,适用于细胞实验、荧光成像及体外分子分析。

在实验操作中,BODIPY FL NH₂ 可溶于 DMSO 或缓冲液,使用方便,可根据实验条件调整浓度和反应时间。标记后的生物分子可通过荧光显微镜、流式细胞术或高通量成像系统进行观察和定量分析。其光稳定性高,能够承受多次激发而信号衰减较小,便于长期动态成像。

此外,BODIPY FL NH₂ 适合构建荧光探针、蛋白质标记分子和纳米材料功能化,其绿色荧光可与红色或近红外染料组合,实现多通道成像和复杂实验设计。小分子结构降低了对生物分子功能的影响,保证实验的可靠性和重复性。

总体而言,BODIPY FL NH₂ 是一种高亮度、光稳定、化学活性强的绿色荧光染料,能够为蛋白质标记、细胞成像及荧光探针开发提供可靠手段,广泛应用于分子生物学、细胞生理研究和荧光分析领域。

来源产地:

本产品由陕西省西安市生产,品质可靠,可满足科研实验的需求

包装规格:

提供多种规格选择,瓶装包装灵活,用户可根据实验需求选择 50 mg、100 mg、250 mg 或 500 mg

产品形态:

可提供固体、粉末及溶液形式,适应不同实验操作需求

储存说明:

建议置于低温冷藏环境,避免光照和潮湿,以保持产品活性与性能稳定

品牌介绍:

西安齐岳生物科技有限公司专注于科研药物传递及纳米靶向技术的研发和生产。公司产品涵盖合成磷脂、PEG 系列衍生物、嵌段共聚物、纳米金属及磁性纳米颗粒、介孔二氧化硅、活性荧光染料、荧光量子点、点击化学试剂及大环配体等多个领域。秉持创新理念,致力于为国内科研机构和相关单位提供高质量科研试剂,支持科学研究的顺利开展。

(内容整理:小编kx,仅供科研用途)

产品推荐:

189561-77-1,Fmoc-Thr(Me,Ac4Neu5Acα2-6Ac2GalNAcα)-OH

cas:869186-83-4   Azide半乳糖

55520-64-4,5-vinyl-uridine

1778691-88-5,FOLATE-NOTA,Methyltetrazine-DOTA

1797415-74-7,TAMRA-Biotin-N3

Sulfo DBCO-PEG4-Maleimide,2182601-68-7

331230-43-4 DO3AM 大环化合物螯合剂


库存查询