CAS号 1222468-90-7
分子量 752.94
分子式 C33H52N8O8S2
用途:科研
状态:固体/粉末/溶液
保存:冷藏
供应:西安齐岳生物科技有限公司

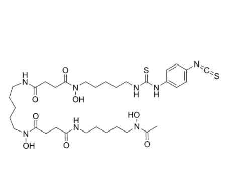
p-SCN-Bn-Deferoxamine(苯基异硫氰酸酯-去铁胺衍生物)是一种功能化的螯合剂衍生物,其核心分子为去铁胺(Deferoxamine, DFO),通过苯基桥接并引入异硫氰酸基(-SCN),形成可与胺基化合物进行选择性共价偶联的化学工具。其分子结构结合了去铁胺的多齿螯合能力与SCN官能团的高反应性,在化学偶联和功能化分子构建中具有重要价值。
化学结构与特性
去铁胺核心:DFO分子由多羟基和羧胺基组成,能够与金属离子(尤其是三价铁)形成稳定螯合复合物,提供化学稳定性和金属捕获能力。
苯基桥接:苯基作为刚性连接桥,赋予分子一定空间结构,便于连接其他化学单元或大分子,同时为SCN反应位点提供化学可及性。
异硫氰酸末端(SCN):SCN官能团可与胺基反应形成稳定的硫脲键,使p-SCN-Bn-Deferoxamine成为高效的化学偶联试剂。
水溶性与操作性:分子整体在有机或水相体系中具有良好溶解性,可在温和条件下实现胺基偶联反应,操作便捷。
化学反应性
胺基偶联:SCN基团可与一阶胺发生反应,生成稳定硫脲键,适合化学偶联和功能化分子构建。
金属螯合:DFO部分可形成高稳定性的金属复合物,用于构建金属配位体系或功能化分子平台。
桥接与功能化:苯基桥接提供空间刚性,使分子适合多功能连接、交联反应或多分子组装。
相关推荐:
Tide Quencher 4WS alkyne
Tide Quencher 4WS azide
TQ4WS NHS ester
荧光淬灭剂Tide Quencher 4WS马来酰亚胺
Tide Quencher 4 CPG
Tide Quencher 4WS amine
Tide Quencher 4WS acid
Tide Quencher 2WS MAL
Tide Quencher 2WS NHS
Tide Quencher 2WS
DABCYL DBC淬灭剂
QXY21 NHS ester
QXY2-淬灭剂,QXY21
Helix Fluor 545,N-羟基琥珀酰亚胺酯
Cell-Tracker Red CMTPX




齐岳微信公众号
官方微信
库存查询