英文名 p-SCN-Bn-NOTA
CAS号 147597-66-8
分子量 450.50900
密度 1.37g/cm3
沸点 730.1ºC at 760mmHg
分子式 C20H26N4O6S
闪点 395.4ºC

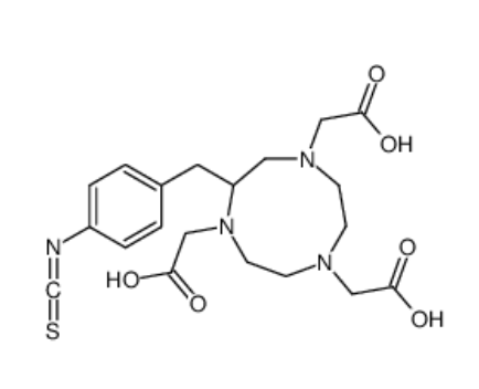
p-SCN-Bn-NOTA,全称为对异硫氰酸苄基-NOTA,是一种功能化的三齿螯合剂衍生物,NOTA代表1,4,7-三氮杂环[2.2.1]辛烷-1,4,7-三乙酸。该化合物的特点是同时具备NOTA的高稳定性金属配位能力以及p-SCN-Bn基团的反应活性,使其成为多功能金属螯合与生物大分子连接的理想试剂。
化学结构上,p-SCN-Bn-NOTA在NOTA环上引入了一个对位的异硫氰酸苄基(p-SCN-Bn)官能团。此官能团能够与含氨基的分子(如多肽、蛋白质或聚合物)通过稳定的氨基-异硫氰酸化学反应形成共价连接,从而实现螯合剂的定位和标记。该反应通常在温和条件下进行(pH约为8.5-9.0的缓冲体系),避免对底物结构产生破坏。
NOTA环本身为三齿配体,能够高效螯合多种金属离子,尤其是三价金属如铝、镓、铜等。与其他常用螯合剂相比,NOTA具有较小的环结构和高刚性,这使其与金属离子的配位更紧密,从而赋予配合物高热力学稳定性和优异的动力学稳定性。此外,NOTA环中三个羧酸基可以进一步调节溶解性和配位环境,使其在水相条件下表现出良好的稳定性。
p-SCN-Bn-NOTA在化学合成和功能化应用中有广泛用途。由于其异硫氰酸苄基官能团的高选择性,p-SCN-Bn-NOTA可用于蛋白质标记、聚合物功能化以及纳米材料表面改性。通过与含氨基的底物形成稳定的共价键,能够将NOTA螯合剂定位到目标分子上,实现金属离子的可控结合和精确定位。同时,这种功能化策略在化学成像、荧光标记、传感器开发等领域均有潜在应用。
关于我们:
西安齐岳生物科技有限公司经营的产品种类包括有:原料药、抑制剂、天然产物、COF、MOF单体系列:三蝶烯衍生物、金刚烷衍生物、四苯甲烷衍生物、多胺系列、多醛系列、联吡啶衍生物、卟啉衍生物、苯乙炔衍生物等;抑制剂&染料;原料药及中间体;OLED光电材料单体系列:共轭苯衍生物、咔唑、噻吩、苯并呋喃和苝/萘酐衍生物等;聚酰亚胺系列:聚酰亚胺、二胺和二酐;有机硅系列:单体、有还原剂、保护剂和偶联剂等;可光聚合液晶小分子等。
相关推荐:
2093197-94-3,DBCO BODIPY FL
1435934-53-4,DBCO CONH SS NHS
1825332-75-9,AF647-Maleimide
1338332-66-3,BHQ3 acid
暗猝灭剂1661064-89-6(BHQ3 amine)
1612756-29-2 NAI Azide,NAI N3
824426-32-6 Azidoacetic acid NHS
Biotin HPDP 129179-83-5
6-TAMRA maleimide 1508249-06-6




齐岳微信公众号
官方微信
库存查询