CAS号 1797415-74-7
分子量 1174.38
分子式 C57H79N11O14S
状态:固体/粉末/溶液
保存:冷藏
供应:西安齐岳生物科技有限公司

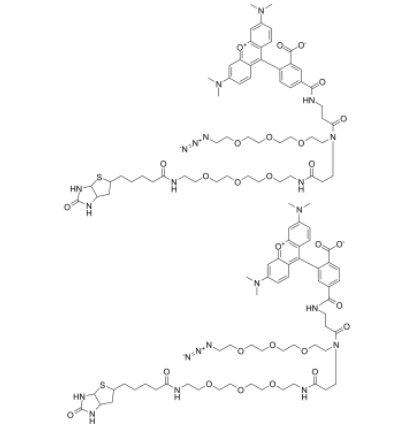
TAMRA-Biotin-N3 是一种双功能荧光标记分子,由红色荧光染料 TAMRA 与生物素(Biotin)通过叠氮基团(N3)连接而成。分子结构兼具荧光标记能力与生物素亲和能力,同时通过叠氮基团具备点击化学反应潜力,是功能化分子探针、材料修饰及标记体系中的重要工具。
化学结构上,TAMRA-Biotin-N3 保留 TAMRA 的红色荧光核心,确保高量子产率和可见光发射特性。生物素部分提供强亲和力,可用于与亲和素(Streptavidin)或链霉亲和素(Avidin)结合,实现可控捕获和标记。叠氮基团的引入赋予分子点击化学反应能力,可与炔基修饰的分子高效连接,形成稳定的三唑环。三部分功能的整合使 TAMRA-Biotin-N3 成为多功能标记分子,可在化学修饰、材料功能化和分子探针开发中实现一体化操作。
物理化学性质方面,TAMRA-Biotin-N3 为红色至橙红色粉末,可溶于 DMSO、乙醇、乙腈及缓冲体系,有一定水溶性,但需避免长期水解环境以防叠氮或生物素失活。其红色荧光发射峰约在 580–610 nm,激发峰约 540–555 nm,光稳定性良好,可在室温或低温避光条件下长期保存。
在实验应用中,TAMRA-Biotin-N3 具有广泛用途。其 TAMRA 核心可用于荧光追踪、成像或定量分析;生物素部分可与亲和素体系结合,实现分子捕获、富集或功能化材料修饰;叠氮基团可参与点击化学反应,与炔基修饰蛋白质、聚合物或纳米颗粒结合,实现功能化和交联。该分子的多功能特性使其在分子标记、荧光探针、材料功能化和多通道荧光体系中均有应用价值。
相关推荐:
盐酸塞利洛尔,Celiprolol hydrochloride,57470-78-7
125-52-0,羟苄利明盐酸盐
625115-55-1 Riociguat 利奥西呱
西索米星,53179-09-2,Sisomicin Sulfate H2SO4
脱硫生物素-活性酯,CAS:80750-24-9
葡萄糖丝氨酸,CAS:118358-38-6
2-叠氮-2-脱氧-D-葡萄糖,56883-39-7
活化脂修饰NOTA,NOTA-NHS ester,1338231-09-6
p-SCN-Bn-DOTA,127985-74-4




齐岳微信公众号
官方微信
库存查询