英文名 Bis(2,5-dioxopyrrolidin-1-yl) (disulfanediylbis(ethane-2,1-diyl)) dicarbonate
CAS号 1688598-83-5
分子量 436.41
分子式 C14H16N2O10S2

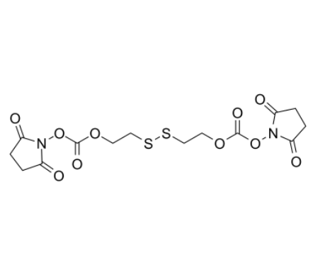
NHS-S-S-NHS 是一种功能性双活性酯分子,其结构由两个 N-羟基琥珀酰亚胺(NHS)酯通过可还原二硫键(–S–S–)连接而成。该分子结合了 NHS 酯的高反应性和二硫键的可控断裂特性,是构建交联剂、功能材料及多分子体系的重要化学工具。
化学特性方面,NHS-S-S-NHS 的每个 NHS 酯端都能与含胺基的分子高效反应,形成稳定的酰胺键,实现共价交联或功能化修饰。二硫键的存在使连接的两个分子或材料在还原条件下可控断裂,适用于可逆交联体系或可控释放体系的构建。这种独特的双功能结构使 NHS-S-S-NHS 能够在聚合物、纳米颗粒、表面修饰以及多分子体系中实现高效、可控的功能化。
物理化学性质方面,NHS-S-S-NHS 通常为白色至浅黄色固体,易溶于二甲基亚砜(DMSO)、乙腈和乙醇等极性有机溶剂,但在水中易水解。分子对光和热敏感,储存需低温避光,并在干燥环境中保存,以维持 NHS 酯的活性。化学稳定性适中,干燥条件下可长期保存,但应避免强还原剂或强酸碱环境,以防二硫键或 NHS 酯副反应。
在实验应用中,NHS-S-S-NHS 被广泛用于多分子体系的交联和功能化。通过胺基与 NHS 酯反应,可实现蛋白质、聚合物或纳米颗粒的稳定共价连接。二硫键的可控断裂特性使其在构建可逆交联体系或可控释放体系中尤为重要,例如在自组装材料、聚合物网络和纳米载体中应用。其双功能端结构可在一个分子中同时作用于两个连接位点,提供高效率、多功能的化学操作能力。
关于我们:
西安齐岳生物科技有限公司经营的产品种类包括有:原料药、抑制剂、天然产物、COF、MOF单体系列:三蝶烯衍生物、金刚烷衍生物、四苯甲烷衍生物、多胺系列、多醛系列、联吡啶衍生物、卟啉衍生物、苯乙炔衍生物等;抑制剂&染料;原料药及中间体;OLED光电材料单体系列:共轭苯衍生物、咔唑、噻吩、苯并呋喃和苝/萘酐衍生物等;聚酰亚胺系列:聚酰亚胺、二胺和二酐;有机硅系列:单体、有还原剂、保护剂和偶联剂等;可光聚合液晶小分子等。
相关推荐:
镁离子荧光探针,Mag-Fluo-4 AM
碳水化合物糖化学试剂定制合成CAS:869996-05-4
1425803-45-7,Cyclooctyne-O-NHS ester
1167421-25-1,N6-「(2-Azidoethoxy)carbonyl」-L-lysine
Biotin-C5-amine,115416-38-1
1454558-58-7,Bz-(Me)Tz-NHS
1360467-41-9,NH2CH2CONH-Py2-Tetrazine
144672-74-2,BODIPY 500/510 C1
136233-53-9,Photobiotin 光敏生物素




齐岳微信公众号
官方微信
库存查询