英文名 Tri-GalNAc(OAc)3
CAS号 1159408-64-6
分子量 1793.91
分子式 C79H128N10O36
状态:固体/粉末/溶液
保存:冷藏
供应:西安齐岳生物科技有限公司

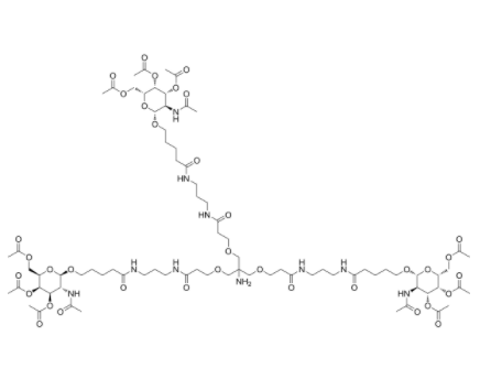
Tri-GalNAc(OAc)₃ 是一种由三分子 N-乙酰半乳糖胺(GalNAc, N-Acetylgalactosamine) 通过特定化学连接方式构成的三聚体,并且其羟基通常通过乙酸酯化(OAc)进行保护。该化合物是糖化学与生物偶联化学中重要的结构单元,广泛应用于 靶向药物递送(Targeted Drug Delivery)、糖缀合物合成 和 分子探针构建。
从结构角度来看,Tri-GalNAc(OAc)₃ 的基本骨架由 GalNAc 单糖单元组成,每个单糖通过糖苷键连接形成三聚体。由于天然 GalNAc 分子含有多个羟基,容易发生不受控制的缩合反应,因此在合成过程中通常先使用 乙酸酯(Acetyl, OAc) 对羟基进行保护,从而提高反应选择性与化学稳定性。这也是其化学名称中含有 (OAc)₃ 的原因。
应用领域
表面修饰与材料科学
Tri-GalNAc(OAc)₃ 可通过偶联反应接枝到高分子、纳米颗粒或多糖材料表面,用于构建特定的糖修饰界面。
糖缀合物构建
作为糖化学中间体,它能够与荧光染料、聚合物、树脂等偶联,生成多功能材料。
分子识别研究
GalNAc 单元能与特定蛋白或分子相互作用,三聚体形式可增强结合效果,因此常用于模拟天然糖链的多价相互作用。
合成化学
乙酰保护的糖单元易于纯化和储存,可作为后续复杂糖链合成的构建模块。
相关推荐:
DOTA-Ala-Ala-COOH,螯合物前体肽
氨基酸衍生物肽,1180007-00-4
1248343-67-0,DOTA-Ala-羧酸
iFluor 680 Styramide,AlexaFluor680酪酰胺
iFluor 647 Styramide
荧光酪酰胺缀合物,iFluor 594 Styramide
7298-65-9,荧光素二丁酸酯
荧光染料-FAM,204697-37-0,5'荧光素氨基磷酸酯
iFluor 555 Styramide




齐岳微信公众号
官方微信
库存查询