英文名称: Cyclo (-RGDfK) 2,2,2-Trifluoroacetic acid
中文名称: Cyclo (-RGDfK) 2,2,2-Trifluoroacetic acid
MF: C29H42F3N9O9
MW: 717.6938896
CAS: 500577-51-5

产品简介:
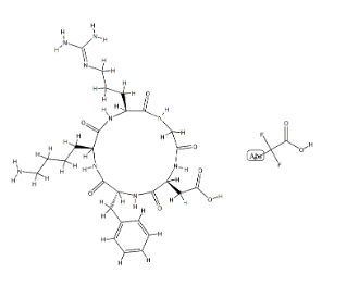
Cyclo(-RGDfK) 是一种环状肽,包含氨基酸序列 RGDfK(精氨酸-甘氨酸-天冬氨酸-苯丙氨酸-赖氨酸),其中 RGD 是已知的整合素受体(如 αvβ3)的结合位点。该环状肽通过肽链的两端形成环状结构,增强了其与整合素受体的结合亲和力。
化学结构与性质
Cyclo(-RGDfK) 的环状结构使其在与整合素受体结合时具有更高的稳定性和选择性。该肽的分子量约为 717.69 Da,具有较高的亲水性和生物相容性。
合成方法
Cyclo(-RGDfK) 的合成通常采用固相肽合成技术,步骤如下:
在固相载体上合成线性肽链 RGDfK。
通过环化反应将肽链两端连接形成环状结构。
去除保护基团,纯化得到 Cyclo(-RGDfK)。
该合成方法的关键在于环化反应的条件控制,以确保高产率和高纯度的环状肽合成。
应用领域
Cyclo(-RGDfK) 主要用于以下研究领域:
整合素受体研究:作为 αvβ3 整合素的特异性抑制剂,Cyclo(-RGDfK) 可用于研究整合素在细胞粘附、迁移和信号转导中的作用。
肿瘤研究:由于 αvβ3 整合素在肿瘤血管生成中的重要作用,Cyclo(-RGDfK) 可用于研究肿瘤微环境中的血管生成过程。
药物筛选:Cyclo(-RGDfK) 可作为筛选整合素受体拮抗剂的工具分子,用于开发新的*肿瘤药物。
来源产地:中国 · 陕西 · 西安
包装规格:提供瓶装形式,常规规格包括 50 mg、100 mg、250 mg、500 mg,亦可根据实验需求提供定制包装。
产品形态:可提供固体、粉末或溶液三种形态,便于不同实验体系使用与操作。
储存说明:建议在低温避光、干燥环境下保存,以维持产品的稳定性和使用效果。
品牌介绍:西安齐岳生物科技有限公司专注于科研用药物递送与纳米材料相关技术的研发与生产。公司产品覆盖合成磷脂、PEG 衍生物、嵌段共聚物、纳米金属与磁性颗粒、介孔二氧化硅、活性荧光染料、荧光量子点、点击化学试剂及大环配体等多个系列。
齐岳生物秉承创新与质量并重的理念,为科研院所及相关实验单位提供可靠的试剂与材料支持,助力科学研究高效开展。
(资料整理:kx,仅限科研用途,不得用于人体、医疗或诊断。)
产品推荐:
NH-bis(PEG4-Boc),2055041-41-1
2138440-81-8,Pomalidomide-PEG4-COOH
AF430 C2 Maleimide,AF430 C2 马来酰亚胺
AF 546 Tomato lectin,AF 546 LEL
862772-11-0,cyclo(Arg-Gly-Asp-D-Phe-Cys)
2183440-65-3,FAM hydrazide, 6-isomer
AF647小麦胚芽凝集素(WGA)




齐岳微信公众号
官方微信
库存查询