英文名称: Fluorescein Alkynylamino-ATP
中文名称: 荧光素烷氨基-三磷酸腺苷
MF: C41H41N6O20P3
MW: 1030.713723
CAS: 185971-89-5

产品简介:
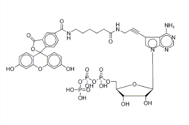
化学结构与性质
Fluorescein Alkynylamino-ATP是一种功能化ATP衍生物,将腺苷三磷酸(ATP)分子通过氨基或修饰位点与荧光素(Fluorescein)结合,并引入末端炔基(Alkynyl)功能团。该分子结合了ATP的生物活性、荧光标记的可视化功能以及末端炔基的“点击化学”反应活性。荧光素部分赋予分子激发波长约495 nm,发射波长约519 nm的绿色荧光信号,而末端炔基可与叠氮或其他活性基团通过铜催化环加成(CuAAC)反应实现共价偶联。
Fluorescein Alkynylamino-ATP在水溶液中溶解性良好,可与生物体系兼容。ATP骨架保持其磷酸转移功能,而氨基或炔基修饰位点不会显著干扰酶识别或结合能力。荧光部分具有良好的光稳定性和高量子产率,可用于生物分子跟踪和动力学分析。
应用领域
Fluorescein Alkynylamino-ATP主要用于生物化学、分子生物学及酶学研究。它可用于ATP依赖性酶的活性检测、动力学分析和底物竞争实验。通过荧光信号,研究者能够实时监测ATP结合和转移过程,从而评估酶的活性或药物作用效果。
末端炔基功能提供了可与叠氮化合物偶联的“点击化学”位点,使Fluorescein Alkynylamino-ATP可用于荧光标记修饰、蛋白质偶联或分子探针设计。例如,可通过CuAAC将其连接到蛋白质、核酸或其他分子,实现特定的标记和成像。
在实验操作中,Fluorescein Alkynylamino-ATP通常以冻干粉末形式提供,可溶于水或缓冲液。储存需避光、低温干燥,以保持荧光和化学稳定性。偶联或标记实验通常在温和条件下进行,确保ATP结构及功能完整。
总之,Fluorescein Alkynylamino-ATP通过结合ATP骨架、荧光标记和炔基反应位点,为酶学研究、分子探针制备和分子成像提供了多功能化学工具,是化学生物学实验中广泛使用的活性荧光ATP衍生物。
来源产地:中国 · 陕西 · 西安
包装规格:提供瓶装形式,常规规格包括 50 mg、100 mg、250 mg、500 mg,亦可根据实验需求提供定制包装。
产品形态:可提供固体、粉末或溶液三种形态,便于不同实验体系使用与操作。
储存说明:建议在低温避光、干燥环境下保存,以维持产品的稳定性和使用效果。
品牌介绍:西安齐岳生物科技有限公司专注于科研用药物递送与纳米材料相关技术的研发与生产。公司产品覆盖合成磷脂、PEG 衍生物、嵌段共聚物、纳米金属与磁性颗粒、介孔二氧化硅、活性荧光染料、荧光量子点、点击化学试剂及大环配体等多个系列。
齐岳生物秉承创新与质量并重的理念,为科研院所及相关实验单位提供可靠的试剂与材料支持,助力科学研究高效开展。
(资料整理:kx,仅限科研用途,不得用于人体、医疗或诊断。)
产品推荐:
反式环辛烯-对硝基苯,1580501-97-8
Di-4-ANEPPS,90134-00-2
Acrylate-PEG-Azide AC-PEG-N3 丙烯酸酯-聚乙二醇-叠氮
Alexa Fluor 488 酰肼,2500973-94-2
1334177-84-2,Hydroxy-PEG8-t-butyl ester
6-Rhodamine X carboxylic acid
133081-26-2,琥珀酰亚胺6-BOC-肼基烟酸酯,NHS-Hynic-Boc
222164-96-7,AF 488 NHS活化酯




齐岳微信公众号
官方微信
库存查询