英文名称: NOTP
中文名称: NOTP
MF: C9H24N3O9P3
MW: 411.22
CAS: 83834-39-3
用途:科研
状态:固体/粉末/溶液
保存:冷藏
供应:西安齐岳生物科技有限公司

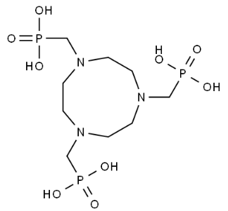
NOTP 是 1,4,7-triazacyclononane-1,4,7-tris(methylenephosphonic acid) 的缩写,中文名称为 1,4,7-三氮杂环壬烷-1,4,7-三亚甲基膦酸。它是一种多齿大环配体(macrocyclic polyphosphonate ligand),属于环状多胺膦酸类螯合剂。
NOTP 分子中含有三个氮原子和三个膦酸基团(–CH₂–PO₃H₂),可提供九个潜在配位位点(3个N + 6个O),能够与多种金属离子(尤其是稀土金属和放射性金属)形成稳定的多配位螯合物。
配位特征与化学性质
多齿配位与螯合效应
NOTP 可通过三氮原子和三个膦酸氧原子与金属中心形成强配位键。由于其大环刚性和配位位点的对称性,能有效包裹金属离子,形成八配位或九配位复合物
,从而显著增强热力学与动力学稳定性。
金属选择性
NOTP 对于三价金属离子(如 Ga³⁺、In³⁺、Fe³⁺、Lu³⁺、Gd³⁺)具有高亲和性和稳定常数。
例如,Ga–NOTP 复合物的稳定常数 log K > 25,明显高于传统EDTA或DTPA配体。
酸碱调控能力
由于膦酸基团的pKa分布宽广,NOTP在不同pH下可呈现多种配位状态,使其在生理条件(pH 6–8)下仍能保持高稳定性。
水溶性与生物兼容性
NOTP 及其金属复合物具有高的亲水性和低细胞毒性,适合用于生物医学成像和金属药物递送。
关于我们:
西安齐岳生物科技有限公司是一家从事科研试剂、多肽、小分子PEG衍生物、石墨炔(graphyne)发光材料、金属配合物发光材料、超分子、光刻胶、催化剂、光
电材料、MAX相陶瓷,碳纳米管、原料、纳米材料、钙钛矿、蛋白质交联剂、光引发剂,脂质体、合成磷脂的研发、定制合成、生产和销售的高科技生物科技有限
公司
相关推荐:
217973-03-0,DO3A
56491-86-2,NOTA
313229-90-2,CB-TE2A
130701-19-8,1,4,7,10-四氮杂环十二烷-1,4,7,10-四乙酸
二乙酸脱氧核酸,112193-75-6,DO2A
Sulfo-Cy7-E SE,Sulfo-Cy7-E 琥珀酰亚胺酯
287970-46-1,EAM-1
线粒体膜电位荧光探针EAM-2,2125661-97-2
Sulfo-Cy7双琥珀酰亚胺酯
2032239-75-9,Mal-mono-amide-DTPA
p-NH2-Bn-PCTA,2125661-64-3




齐岳微信公众号
官方微信
库存查询