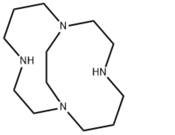
英文名称: CB-Cyclam(M-200)
中文名称: CB-Cyclam(M-200)
MF: C12H26N4
MW: 226.36
CAS: 130701-19-8
状态:固体/粉末/溶液
保存:冷藏
供应:西安齐岳生物科技有限公司

1,4,7,10-四氮杂环十二烷-1,4,7,10-四乙酸(英文名:1,4,7,10-Tetraazacyclododecane-1,4,7,10-tetraacetic acid,简称 DOTA)是一种重要的大环多胺类螯合剂。
配位化学特征
DOTA 是一类典型的多齿大环螯合剂。它能够与多种金属离子(尤其是过渡金属、镧系元素以及放射性金属离子)形成稳定配合物。由于其四个氮原子与四个羧酸氧原子均可参与配位,因此形成的配合物通常具有八配位或九配位结构。DOTA 与金属离子的结合具有以下特点:
高稳定性:DOTA 对金属离子的亲和力极强,其配合物具有极高的稳定常数。与同类开链配体(如 EDTA)相比,DOTA 的大环骨架能显著提高热力学稳定性和抗置换能力,在生理环境中金属离子几乎不会解离。
良好的选择性:DOTA 的环腔大小与多种金属离子(尤其是三价镧系离子如 Gd³⁺、Lu³⁺)的离子半径匹配,使得配位几何结构紧凑且稳定。
动力学惰性:DOTA 的配合物即便在酸性或生物体环境下也难以发生配位交换或金属置换反应,这使其在生物医药中具有优越的安全性。
关于我们:
西安齐岳生物科技有限公司是一家从事科研试剂、多肽、小分子PEG衍生物、石墨炔(graphyne)发光材料、金属配合物发光材料、超分子、光刻胶、催化剂、光电材料、MAX相陶瓷,碳纳米管、原料、纳米材料、钙钛矿、蛋白质交联剂、光引发剂,脂质体、合成磷脂的研发、定制合成、生产和销售的高科技生物科技有限公司
相关推荐:
ulfo-Cyanine5-hydrazide,水溶性CY5酰肼
DBCO-PEG4-COOH,1537170-85-6
NHS ester-PEG21-NHS ester
sulfo-Cyanine5 DBCO,1564286-24-3
Ac4Man-BCN
Sulfur dioxide fluorescent prob,1575837-25-0
Cy3-DFO,花青染料Cy3-去铁胺
FITC-BSA,荧光素标记牛血清白蛋白




齐岳微信公众号
官方微信
库存查询