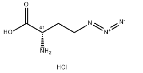
中文名称: (2S)-2-氨基-4-叠氮基丁酸盐酸盐
MF: C4H9ClN4O2
MW: 180.59
CAS: 942518-29-8
保存:冷藏
供应:西安齐岳生物科技有限公司

L-叠氮基氨基丙氨酸盐酸盐(AHA)是一种含有叠氮官能团的非天然氨基酸衍生物,化学名称为 L-Azidohomoalanine Hydrochloride,常简称为AHA。该化合物结构中含有一个α-氨基酸骨架,与天然氨基酸甲硫氨酸(L-Methionine)结构相似,但其侧链中的硫原子被叠氮基(–N₃)所取代。这种结构的改变赋予了AHA独特的化学反应活性,使其成为一种重要的生物正交化学探针,可用于多种生物分子标记和化学修饰研究。
在物理性质方面,L-叠氮基氨基丙氨酸盐酸盐通常为白色或类白色固体,易溶于水和一些极性有机溶剂。其盐酸盐形式可显著提高水溶性和稳定性,便于在水相体系中的反应操作。AHA具有稳定的叠氮基团,在常温常压条件下较为惰性,不易发生自发分解或副反应,因此能够在复杂的生物体系中稳定存在,兼具反应可控与选择性高的特点。
AHA的独特价值主要体现在其生物正交化学应用上。由于它能被生物体内的蛋白质合成系统部分识别和掺入,因此可在细胞水平实现对新生蛋白的标记。研究中常利用AHA替代天然甲硫氨酸掺入到新合成的多肽链中,从而在蛋白质中引入叠氮功能基。随后,叠氮基可通过“点击化学”反应(Click Chemistry)与含炔基化合物发生高选择性共价偶联,例如与炔基荧光探针、亲和标签或聚合物偶联,实现对目标蛋白的检测、成像或分离。这种方法无需改变蛋白质天然结构,且反应条件温和,对生物体系影响较小,因此在蛋白质标记、代谢组学及化学生物学研究中具有广泛用途。
在化学合成方面,AHA的制备通常通过保护氨基酸的官能团,再通过有机叠氮化反应引入–N₃基团,最后经脱保护和成盐得到目标产物。整个合成过程对反应条件控制要求较高,以确保光学纯度和官能团完整性。AHA的L-型构型与天然氨基酸一致,使其可被特定的氨基酸转移酶或甲硫氨酸tRNA合成酶部分识别,从而实现生物体内掺入的可能性。
关于我们:
西安齐岳生物科技有限公司是一家从事科研试剂、多肽、小分子PEG衍生物、石墨炔(graphyne)发光材料、金属配合物发光材料、超分子、光刻胶、催化剂、光电材料、MAX相陶瓷,碳纳米管、原料、纳米材料、钙钛矿、蛋白质交联剂、光引发剂,脂质体、合成磷脂的研发、定制合成、生产和销售的高科技生物科技有限公司
相关推荐:
L-叠氮基氨基丙氨酸盐酸盐(AHA,CAS号:942518-29-8)
IR820 NHS ester,IR820琥珀酰亚胺酯
Fluorescein-SH,巯基修饰的荧光素试剂
ATTO488-dextran,ATTO488-葡聚糖
Dextran Methacryloyl,甲基丙烯酰化葡聚糖
Streptavidin, CF640R conjugate,CF640R标记链霉亲和素
Streptavidin, CF680R conjugate,CF680R标记链霉亲和素
R-Phycoerythrin Streptavidin 藻红蛋白标记的链霉亲和素
(±)-H3RESCA-OH,1919794-37-8




齐岳微信公众号
官方微信
库存查询