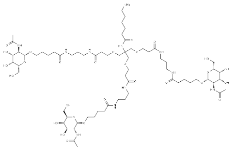
英文名称:tri-GalNAc-hexamine
常用名 TRI-GALNAC-六胺
CAS号 1646198-77-7
分子量 1528.73
密度 1.34±0.1 g/cm3(Predicted)
沸点 1718.5±65.0 °C(Predicted)
分子式 C67H121N11O28
用途:科研
状态:固体/粉末/溶液
保存:冷藏
供应:西安齐岳生物科技有限公司

Tri-GalNAc-Hexamine 是一种具有糖基修饰的化合物,广泛用于糖生物学、药物递送以及糖肽合成等研究领域。它是由三个GalNAc(N-乙酰半乳糖胺)单元与一个六氨基(Hexamine)分子通过化学连接而成。GalNAc是糖胺聚糖(如糖胺聚糖受体)中的常见糖单元,而Hexamine(六氨基化合物)通常用于提供氨基基团,进而用于与其他分子或化合物的连接反应。
结构与性质
GalNAc(N-乙酰半乳糖胺):GalNAc是一种重要的N-乙酰化糖单元,广泛存在于糖类化合物中。它在糖肽、糖蛋白等生物分子中起着关键作用,尤其在细胞识别和糖链修饰中扮演重要角色。
Hexamine(六氨基化合物):Hexamine包含六个氨基基团,通常用于提供反应性氨基,能够与其他分子发生交联反应。通过这种氨基化修饰,可以增强分子在化学反应中的活性。
应用
糖肽合成:
Tri-GalNAc-Hexamine常用于糖肽的合成,尤其是在需要将GalNAc单元与其他化学基团或分子连接时。通过六氨基(Hexamine)提供的氨基基团,能够在糖肽合成中实现更高的选择性和效率。
糖生物学研究:
GalNAc作为糖类分子的一部分,广泛参与细胞识别、糖蛋白修饰等生物过程。Tri-GalNAc-Hexamine可用于研究糖类分子在细胞中的作用及其与糖类受体的相互作用,尤其在糖胺聚糖与细胞表面受体的结合研究中具有重要应用。
靶向药物递送:
通过将Tri-GalNAc-Hexamine与药物分子、抗体等结合,可以实现靶向药物递送。GalNAc的存在使其能够与特定的糖类受体(如肝脏中的Asialoglycoprotein Receptor)进行靶向结合,从而增强药物在目标部位的积累与效应。
相关推荐:
芘丁酸酯聚乙二醇羟基,Pyrene-PEG-OH
CLS-PEG-FITC,胆固醇-聚乙二醇-荧光素
CLS-PEG-Biotin,胆固醇-PEG-生物素
CLS-PEG-DBCO,胆固醇-PEG-二苯基环辛炔
CLS-PEG-Silane,胆固醇-PEG-三乙氧基硅烷
CLS-PEG-SAS,胆固醇-PEG-酰胺琥珀酰亚胺丁二酸酯
CLS-PEG-Mal,胆固醇-PEG-马来酰亚胺
CLS-PEG-AcA,丙烯酰胺聚乙二醇胆固醇
胆固醇聚乙二醇叠氮,CLS-PEG-N3
CLS-PEG-SH,胆固醇-聚乙二醇-巯基
胆固醇聚乙二醇氨基,CLS-PEG-NH2
CLS-PEG-AA,胆固醇-PEG-乙酸
胆固醇聚乙二醇羟基,CLS-PEG-OH




齐岳微信公众号
官方微信
库存查询