-
作者:kx 日期:2026-03-10
西安齐岳生物深耕生物偶联技术研发,搭建成熟的ADC*体偶联定制平台,专注提供*体-小分子化合物精准偶联一站式定制服务,覆盖临床前科研、药物筛选、IVD试剂开发等多场景。依托专业偶联工艺与严格质控体系,可实现*体与毒素小分子、荧光小分子、功能化小分子的高效、定点偶联,精准控制药物*体比(DAR),兼顾产物活性与均一性,支持毫克级至克级定制,为ADC药物研发、靶向递送研究提供高品质原料与技术支持。
-
作者:zhn 日期:2026-03-04
西安齐岳生物拥有专业的CDMO服务团队,可以为客户构建从医药原辅料DOTA-NHS的工艺开发到非GMP公斤级供应的全链条DOTA-NHS服务体系,覆盖工艺开发、中试放大、杂质研究、稳定性研究、质量标准建立、非GMP公斤级供应、GMP申报及GMP供应等核心环节,各环节均建立标准化流程与严格质量管控。
-
作者:zhn 日期:2026-02-11
西安齐岳生物专注MRI 磁共振成像脂质体一站式 CDMO 研发外包,覆盖从分子设计、制剂开发、影像验证到中试放大的全链条,为核磁影像探针、靶向造影脂质体、诊疗一体化脂质体提供定制化研发与生产服务。
-
作者:zhn 日期:2026-01-29
西安齐岳生物聚焦ALC-0315辅脂的工艺优化与产业化需求,提供从工艺开发、中试放大、杂质研究、稳定性评估、质量标准建立到非GMP公斤级产品供应、GMP 申报支持及GMP供应的CDMO全链条技术服务,并覆盖脂质体、PEG 衍生物等多品类生物医药原料,助力客户加速 ALC-0315 相关产品的研发与商业化进程。
-
作者:zhn 日期:2026-01-28
西安齐岳生物致力于为客户提供一站式、系统化的药物递送载体制剂开发服务,纳米递送载体包含:“脂质体”,“LNP纳米粒”,“水凝胶”,“微球”等。下文主要介绍我们能够提供的脂质体药物研发外包全流程一站式服务!
-
作者:zhn 日期:2026-01-27
西安齐岳生物提供全方位PLGA-PEG-衍生物定制服务,可精准调控分子量、官能团、反应位点及功能集成,满足生物医学、药物递送、组织工程等多领域科研与临床前研发需求。以下为定制详情汇总表,涵盖衍生物种类、功能偶联方式及核心参数:
-
作者:zhn 日期:2026-01-26
西安齐岳生物提供氨基酸修饰定制合成技术服务,可实现20 种天然氨基酸全系列定制,同时覆盖非天然氨基酸、修饰性氨基酸、手性氨基酸、环状氨基酸等非常规氨基酸的定向合成与修饰,满足科研、工业级不同场景的定制需求。
-
作者:zhn 日期:2026-01-16
西安齐岳生物聚焦聚集诱导发光(AIE)领域核心分子——四苯乙烯(TPE)、三苯胺(TPA),提供全方位定制合成服务,覆盖从基础衍生物修饰到功能化材料构筑的全链条技术支持,满足科研及产业化前期研发需求。
-
作者:zhn 日期:2025-12-19
西安齐岳生物提供药物修饰和改性,覆盖靶向修饰、荧光标记、聚合物修饰、核酸偶联、载体包裹、官能团修饰等多方向定制服务,适配小分子药物、蛋白/多肽类药物、核酸类药物等多种药物类型。可根据客户具体研发需求(如药理活性优化、药代动力学改善、可视化追踪等),量身定制专属合成方案,灵活调整反应条件与纯化工艺。
-
作者:zhn 日期:2025-12-12
生物素标记小分子活性化合物,是通过化学合成手段将生物素分子连接到具有特定生物活性的小分子化合物上,形成的标记产物可广泛应用于靶点垂钓、药物筛选、分子互作分析、细胞成像等生物医药研发场景,为小分子药物的作用机制研究与临床前评价提供关键工具。西安齐岳生物依托专业的有机合成平台与生物偶联技术团队,可针对不同结构、不同活性的小分子化合物,提供全流程、高定制化的生物素标记合成服务
-
作者:zhn 日期:2025-12-04
PAMAM(Polyamidoamine)树枝状大分子是一类具有高度分支结构、单分散性良好、表面基团高度可控的纳米级高分子材料。由于其规则的三维拓扑结构、内部空腔、丰富的表面胺/羧基位点以及优异的生物相容性,已被广泛应用于药物递送、基因转染、成像探针构建、催化与功能材料开发等方向。针对科研与产业端的不同需求,我们提供完整的 PAMAM树枝状聚合物定制合成服务,可从代数控制、表面修饰到功能化链接实现全流程定制。
-
作者:zhn 日期:2025-12-02
西安齐岳生物科技有限公司拥有丰富的PEG修饰技术与丰富的定制经验,为全球科研与临床客户提供高质量的PEG修饰蛋白解决方案,助力生物医药领域创新发展。
-
作者:ssl 日期:2025-09-05
16:0-18:1 PC(POPC, CAS:26853-31-6)是一个具有重要生物学与研究价值的磷脂分子。其 不对称脂肪酸结构 赋予了分子独特的膜物理性质,使其成为 膜生物学、药物递送和生物物理学研究的经典材料。随着医学与材料科学的深入发展,POPC 不仅将在基础研究中继续扮演关键角色,还将在 临床诊断、准医疗和新型药物递送体系 中展现广阔的应用前景。
-
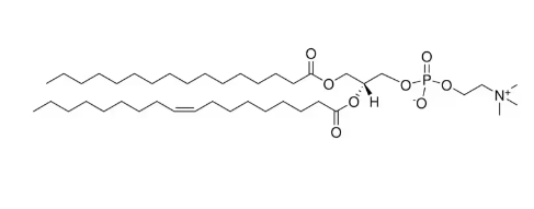
作者:ssl 日期:2025-09-04
18:0-16:0 PC(CAS:59403-53-1)作为一种典型的双饱和链磷脂酰胆碱,因其结构稳定性强、相变温度较高而成为脂质体和LNP体系的重要组分。它不仅是模拟细胞膜、研究膜蛋白功能的理想工具分子,也是构建药物控释体系、热敏脂质体和基因递送平台的关键材料。随着纳米药物与核酸药物的发展,18:0-16:0 PC将在生物医学领域发挥越来越重要的作用。
-
作者:ssl 日期:2025-09-03
18:0 Lyso PC,CAS:19420-57-6,1-硬脂酰-SN-甘油-3-磷酰胆碱,18:0 Lyso PC(1-硬脂酰-sn-甘油-3-磷酰胆碱)作为溶血磷脂酰胆碱家族的重要成员,不仅是脂质代谢的中间体,也是一种关键的生物信号分子。它在膜结构调节、细胞信号传导、药物递送和疾病研究中展现出广泛价值。未来,随着脂质组学和分子医学的发展,18:0 Lyso PC 在准医学、药物研发以及生物标志物探索方面有望发挥更大作用。



















齐岳微信公众号
官方微信
库存查询