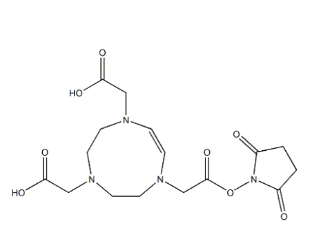
中文名称: NOTA-NHS ESTER
MF: C16H24N4O8
MW: 400.38
CAS: 1338231-09-6
用途:科研
状态:固体/粉末/溶液
保存:冷藏
供应:西安齐岳生物科技有限公司

NOTA-琥珀酰亚胺酯是一种功能化的多齿螯合配体衍生物,结合了 NOTA(1,4,7-三氮杂环[2.2.1]辛烷)骨架的高金属离子螯合能力和末端 N-羟基琥珀酰亚胺(NHS)酯的高化学反应活性。其设计目的在于提供一个可控、高效的化学偶联平台,用于将螯合配体与多种含氨基的分子、聚合物或纳米材料进行共价结合,从而构建多功能复合体系。
NOTA 核心结构具有环状三氮杂环骨架,能够通过三个配位位点对金属离子进行稳定螯合,形成高度稳定的配合物。该特性在材料设计和分子整合中具有显著优势,因为它可以在复杂环境中保持金属离子的固定,同时避免非特异性结合。NOTA 骨架的刚性与空间构型经过优化,使其在偶联反应中能够保持结构完整,并为末端官能团提供理想的空间位阻,确保偶联效率和产物均一性。
NHS 酯官能团是 NOTA-琥珀酰亚胺酯的关键化学活性部位,能够在温和条件下与氨基基团发生高效共价反应,生成稳定的酰胺键。该反应具有快速、高选择性和高产率等特点,适用于多种化学体系,包括水相缓冲液、极性有机溶剂或混合溶剂体系。这一特性使 NOTA-NHS Ester 在高分子修饰、材料表面功能化和多功能复合体系构建中具有广泛应用潜力。
化学稳定性方面,NOTA-琥珀酰亚胺酯在干燥、低湿和避光条件下可长期储存而保持活性。使用时,可将其溶解于 DMSO、DMF 或适当缓冲液中进行偶联反应。其结构设计兼顾亲水性与疏水性分布,使分子在溶液中呈现良好的分散性和低自聚集倾向,从而提高偶联反应的均一性和效率。
相关推荐:
NOTA-琥珀酰亚胺酯,1338231-09-6
NODA-GA-NHS ester,1407166-70-4
MB 594 N3,MB 594叠氮化物
二苯基环辛炔-聚乙二醇-聚赖氨酸 DBCO-PEG-PLL
Benzene Boronic Acid-PEG-Biotin
MB 660R Alkyne,甲基蓝660R 炔烃
BOC-PEG2K-COOH,叔丁氧羰基-PEG-羧基
Biotin-PEG-N3,生物素-PEG-叠氮
Tri-GalNAc(OAc)3-五氟苯脂
Tri-GalNAc-Azide,2925590-71-0




齐岳微信公众号
官方微信
库存查询