常用名 TRI-GALNAC-六胺
英文名 tri-GalNAc-hexamine
CAS号 1646198-77-7
分子量 1528.73
密度 1.34±0.1 g/cm3(Predicted)
沸点 1718.5±65.0 °C(Predicted)
分子式 C67H121N11O28

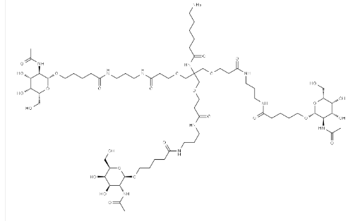
三臂半乳糖-己胺(CAS: 1646198-77-7)是一种多功能寡糖衍生物,由三分支半乳糖(Gal)单元和末端氨基(–NH₂)官能团组成。其分子设计目标在于提供一个高效、可控的化学偶联平台,用于将多糖结构与高分子链、纳米材料或功能分子共价结合,实现多功能复合体系构建。
三臂半乳糖单元提供高度可控的分子识别结构,每个分支末端都暴露半乳糖官能团,使分子在偶联体系中能够实现高密度、多点功能化。该分子结构的分支设计增强了空间可及性,确保末端氨基或其他官能团在化学反应中能够自由接近目标反应位点,从而提高偶联效率和产物均一性。
末端氨基(–NH₂)官能团为三臂半乳糖-己胺提供了高度活性的化学反应位点,可与多种活性官能团形成稳定共价键,例如羧基(–COOH)、NHS 酯、异氰酸酯或醛基等。这种官能化策略使分子能够高效整合到聚合物链、纳米材料或多功能分子平台中,满足复杂体系对化学偶联的多样化需求。
三臂半乳糖-己胺在化学稳定性方面表现良好,可在干燥、低湿和避光条件下长期储存,保持末端氨基官能团的活性。使用时可溶解于水、缓冲液或极性有机溶剂中,直接参与高效偶联反应或多功能复合体系构建。分子设计兼顾亲水性和空间柔性,确保偶联反应均一性高、产物可控性强。
相关推荐:
Perfect 2000 DNA Ladder
AF350 Tyramide Conjugates,AF350 酪胺偶联物
AF405 Tyramide Conjugates
CF 594 TSA Conjugates,CF 594 酪酰胺
CF620R TSA Conjugates,CF 620R 酪酰胺偶联物
Cy 3 Tyramide Conjugates,花青染料Cy3-酪酰胺
Cy 5 Tyramide Conjugates,花青染料Cy3-酪酰胺
CF488A Tyramide Conjugates
CF 532 TSA Conjugates
Perfect 5000 DNA Ladder
CF405L TSA Conjugates,CF405L-酪胺偶联物
Quasar 670 phosphoramidite,Quasar 670 亚磷酰胺




齐岳微信公众号
官方微信
库存查询