英文名称: DBCO-Acid
中文名称: DBCO-酸
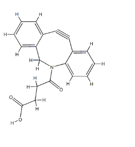
MF: C19H15NO3
MW: 305.33
CAS: 1353016-70-2

产品简介:
DBCO-acid 是一种功能化化学分子,其核心结构是 DBCO(Dibenzocyclooctyne)环辛炔结构末端连接羧酸(-COOH)功能基团。DBCO 端能够与叠氮基(azide)官能团通过 SPAAC(Strain-Promoted Azide–Alkyne Cycloaddition)点击化学反应进行高效共价连接,无需铜催化,适合在生物体系中使用。羧酸末端提供了可通过活化形成酰胺键的功能位点,可与蛋白质或多肽中的氨基进行共价结合,从而将 DBCO 引入目标分子,实现后续点击化学标记或功能化修饰。
在应用上,DBCO-acid 常用于蛋白质、抗体或多肽的功能化修饰及多功能探针构建。通过羧酸端,可在温和条件下与 NHS 或 EDC 活化形成酰胺键,将 DBCO 端特异性连接到赖氨酸残基或其他可反应氨基上。随后,DBCO 可与叠氮化合物进行特异性点击反应,用于荧光标记、亲和标签连接或纳米材料表面功能化。这种设计特别适合在复杂生物体系中进行标记或修饰,兼顾效率与生物相容性,同时避免铜催化可能带来的毒性问题。
使用注意事项包括:羧酸端在形成酰胺键前通常需要活化,可使用 NHS 或 EDC 体系,反应需在中性或轻碱性缓冲液中进行;DBCO 端点击反应对光较敏感,应避光操作以防分子降解;储存建议低温干燥,可延长试剂有效期。综合来看,DBCO-acid 是一款结构简洁、反应高效、适用于蛋白质修饰与点击化学标记的多功能工具,非常适合科研实验中对分子功能化和多功能标记的需求。
来源产地:中国 · 陕西 · 西安
包装规格:提供瓶装形式,常规规格包括 50 mg、100 mg、250 mg、500 mg,亦可根据实验需求提供定制包装。
产品形态:可提供固体、粉末或溶液三种形态,便于不同实验体系使用与操作。
储存说明:建议在低温避光、干燥环境下保存,以维持产品的稳定性和使用效果。
品牌介绍:西安齐岳生物科技有限公司专注于科研用药物递送与纳米材料相关技术的研发与生产。公司产品覆盖合成磷脂、PEG 衍生物、嵌段共聚物、纳米金属与磁性颗粒、介孔二氧化硅、活性荧光染料、荧光量子点、点击化学试剂及大环配体等多个系列。
齐岳生物秉承创新与质量并重的理念,为科研院所及相关实验单位提供可靠的试剂与材料支持,助力科学研究高效开展。
(资料整理:kx,仅限科研用途,不得用于人体、医疗或诊断。)
产品推荐:
306776-79-4,DOTAGA-tetra (t-Bu ester)
282097-63-6,p-SCN-Bn-TCMC
p SCN Bn NOTA
NOTA NHS ester,1338231-09-6
1702967-37-0,DOTA PSMA
56883-39-7,2-Azido-2-deoxy-D-glucose
Fmoc-L-Ser(β-D-Glc(Ac)4)-OH,118358-38-6
18292-38-1,异丁烯基三甲基硅烷




齐岳微信公众号
官方微信
库存查询