【产品名称】:Amino-PEG4-Val-Cit-PAB-MMAE,CAS1492056-71-9
【基本介绍】:
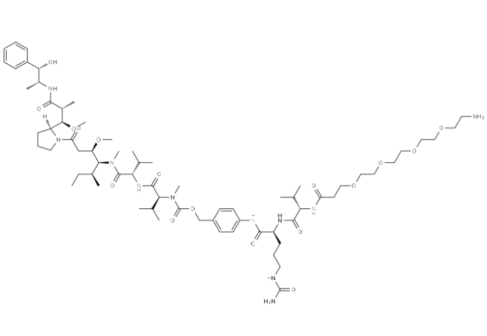
Amino-PEG4-Val-Cit-PAB-MMAE(CAS1492056-71-9)——特性与功能
化学结构与基本特性
Amino-PEG4-Val-Cit-PAB-MMAE 是另一种 ADC 中间体,其结构特点包括:
Amino(氨基)末端:可与 NHS 酯、活化酯或其他羧基官能团共价偶联,适合通过传统化学方法与抗体、蛋白或多肽连接。
PEG4 链:四个乙二醇单元提供柔性间隔,提高水溶性、降低聚集,并增强抗体或载体偶联后的稳定性。
Val-Cit-PAB 载药模块:与 Azido-PEG4 相同,可被内源性蛋白酶切割,并通过 PAB 自消除释放 MMAE,实现可控药物释放。
MMAE:强效微管抑制剂,可诱导肿瘤细胞凋亡。
Amino-PEG4-Val-Cit-PAB-MMAE 提供传统化学偶联方式,适合多种抗体或蛋白偶联策略。
功能特性与应用
ADC 构建与靶向递送
通过氨基末端与抗体上的活化酯形成稳定酰胺键,实现 MMAE 与抗体的高效偶联,构建 ADC 分子。适用于需要传统化学偶联方法的实验体系。可控药物释放
Val-Cit-PAB 单元保证 MMAE 在肿瘤细胞内释放,依赖蛋白酶切割触发 PAB 自消除,从而实现精确靶向毒性。PEG4 提高水溶性和生物相容性
PEG4 链降低偶联后聚集风险,提高分子在水溶液和体内循环中的稳定性,改善药代动力学。多样偶联策略
Amino 末端可用于与抗体、蛋白质或小分子载体结合,适配不同偶联化学策略,如 NHS 酯偶联或固相支架连接。*肿瘤应用
MMAE 的高效微管抑制作用结合抗体靶向性,可特异性杀伤肿瘤细胞,是 ADC 药物开发中的核心载药模块。
总结
Amino-PEG4-Val-Cit-PAB-MMAE 是一种结合 PEG4 提高水溶性、Val-Cit-PAB 可控释放和 MMAE 高效毒性特点的 ADC 中间体,通过氨基末端提供传统偶联策略,广泛应用于抗体药物偶联物开发、靶向*肿瘤药物研发以及多功能分子构建。我们提供这个产品,仅供科研,如有需要,欢迎咨询!

【基本信息】:
生产地:陕西·西安
纯度标准:≥95%(高纯级)
物理形态:粉末状固体
包装规格:50mg / 100mg / 250mg / 500mg(灵活选量)
贮存要求:低温避光存储
特别声明:本品为科研专用!禁止临床或人体应用!
【关于我们】:
西安齐岳生物科技有限公司是一家专业从事生物科研材料研发与销售的高新技术企业,致力于为生命科学、纳米材料及化学研究等领域提供全面的产品和解决方案。公司主营产品涵盖合成磷脂、高分子聚乙二醇衍生物、磁性纳米颗粒、纳米金、近红外荧光染料、荧光量子点、碳纳米管、石墨烯及多种功能高分子材料。凭借完善的质量管理体系、专业的技术支持和灵活的定制服务,公司已与众多科研院所和高校建立合作关系,持续助力科学研究与技术创新。
【相关产品】:
Sulfo-NHS-LC-LC-Biotin(194041-66-2)
AF 532 WGA
Mal-PEG2-Val-Cit-PABA-PNP
FITC-lysine-dextran
AF 350 WGA
Fmoc-Lys(biotin-PEG4)-OH
Bis-PEG21-NHS ester,2221948-98-5
Bis-Mal-amido-PEG11(2962831-02-1)
ICG-Deferoxamine
Alexa Fluor405偶联链霉素亲和素
DBCO-PEG5-amine
IRDye 800 NHS,956579-01-4
APF探针
5-FITC-Maleimide
Cy5-Streptavidin Conjugate




齐岳微信公众号
官方微信
库存查询